ÌâÄ¿ÄÚÈÝ

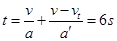
£¨10·Ö£©ÌØÕ½¶ÓÔ±´ÓÐüÍ£ÔÚ¿ÕÖÐÀëµØ55m¸ßµÄÖ±Éý»úÉÏÑØÉþÏ»¬½øÐнµÂäѵÁ·£¬Ä³ÌØÕ½¶ÓÔ±ºÍËûЯ´øµÄÎäÆ÷ÖÊÁ¿¹²Îª80kg£¬ÉèÌØÕ½¶ÓÔ±ÓÃÌØÖÆµÄÊÖÌ×ÇáÎÕÉþ×Óʱ¿É»ñµÃ200NµÄĦ²Á×èÁ¦£¬½ôÎÕÉþ×Óʱ¿É»ñµÃ1000NµÄĦ²Á×èÁ¦£¬Ï»¬¹ý³ÌÖÐÌØÕ½¶ÓÔ±ÖÁÉÙÇáÎÕÉþ×Ó²ÅÄÜÈ·±£°²È«£¬£¨£©¡£ÊÔÇó£º

£¨1£©ÌØÕ½¶ÓÔ±ÇáÎÕÉþ×Ó½µÂäʱµÄ¼ÓËٶȵĴóС£»

£¨2£©ÈôÒªÇóÌØÕ½¶ÓÔ±×ŵØÊ±µÄËٶȲ»´óÓÚ5m/s£¬ÔòÌØÕ½¶ÓÔ±ÔÚ¿ÕÖÐÏ»¬µÄ×îÉÙʱ¼äΪ¶àÉÙ£¿

 

¡¾´ð°¸¡¿

£¨1£©£¨2£©6s

¡¾½âÎö¡¿

ÊÔÌâ·ÖÎö£º£¨1£©¸ù¾ÝÅ£¶ÙµÚ¶þ¶¨Âɿɵ㺣¨2·Ö£©½âµÃ£º£¨2·Ö£©

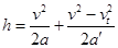
£¨2£©ÏÈÇáÎÕÉþ×ÓÏ»¬£¬ÔÙ½ôÎÕÉþ×ÓÒÔ×î´óµÄĦ²Á×èÁ¦×ö¼õËÙÔ˶¯£¬×ŵØÊ±ËÙ¶ÈΪ5m/s¡£ÕâÑùµÄÏ»¬¹ý³ÌËùÐèʱ¼ä×îÉÙ¡£

ÓÐ×î´óµÄĦ²Á×èÁ¦Ê±£º   ËùÒÔ£º£¨2·Ö£©

É裺ÆäÖÐ×î´óËÙ¶ÈΪv£¬ ÓУº£¨2·Ö£©

½âµÃ£º

ËùÒÔ£º£¨2·Ö£©

¿¼µã£º¿¼²éÁËÅ£¶ÙµÚ¶þ¶¨ÂÉ£¬Ä¦²ÁÁ¦£¬Ô˶¯Ñ§¹«Ê½

 

Á·Ï°²áϵÁдð°¸
Ïà¹ØÌâÄ¿

Î¥·¨ºÍ²»Á¼ÐÅÏ¢¾Ù±¨µç»°£º027-86699610 ¾Ù±¨ÓÊÏ䣺58377363@163.com

¾«Ó¢¼Ò½ÌÍø