题目内容
| 时刻 | t2 | t3 | t4 | t5 |
| 速度(m/s) | 4.99 | 4.48 | 3.98 |
(2)从t2 到t5时间内,重力势能增量△Ep=______J,动能减少量△Ek=______J;
(3)在误差允许的范围内,若△Ep与△Ek近似相等,从而验证了机械能守恒定律.由上述计算得△Ep______△Ek (选填“>”、“<”或“=”),造成这种结果的主要原因是______.
【答案】分析:(1)在匀变速直线运动中,中间时刻的瞬时速度等于该过程中的平均速度,据此可以求t5时刻的速度大小;
(2)根据重力做功和重力势能之间的关系可以求出重力势能的减小量,根据起末点的速度可以求出动能的增加量.
(3)由于纸带和打点计时器的摩擦以及空气阻力的存在,导致动能的减小量没有全部转化为重力势能.
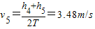
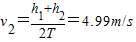
解答:解:(1)在匀变速直线运动中,中间时刻的瞬时速度等于该过程中的平均速度,所以有:

故答案为:3.48.
(2)根据重力做功和重力势能的关系有:△Ep=mg(h2+h3+h4)=1.24J


故答案为:1.24,1.28.
(3)由于纸带和打点计时器的摩擦以及空气阻力的存在,导致动能减小量没有全部转化为重力势能,因此△E p<△E k.
故答案为:<,存在空气阻力.
点评:本题考查了验证机械能守恒定律中的数据处理方法,以及有关误差分析,尤其是误差分析是难点,要学会根据可能产生误差的原因进行分析.
(2)根据重力做功和重力势能之间的关系可以求出重力势能的减小量,根据起末点的速度可以求出动能的增加量.
(3)由于纸带和打点计时器的摩擦以及空气阻力的存在,导致动能的减小量没有全部转化为重力势能.
解答:解:(1)在匀变速直线运动中,中间时刻的瞬时速度等于该过程中的平均速度,所以有:
故答案为:3.48.
(2)根据重力做功和重力势能的关系有:△Ep=mg(h2+h3+h4)=1.24J
故答案为:1.24,1.28.
(3)由于纸带和打点计时器的摩擦以及空气阻力的存在,导致动能减小量没有全部转化为重力势能,因此△E p<△E k.
故答案为:<,存在空气阻力.
点评:本题考查了验证机械能守恒定律中的数据处理方法,以及有关误差分析,尤其是误差分析是难点,要学会根据可能产生误差的原因进行分析.
练习册系列答案
相关题目
(2)某同学利用竖直上抛小球的频闪照片验证机械能守恒定律.频闪仪每隔0.05s闪光一次,图中所标数据为实际距离,该同学通过计算得到不同时刻的速度如下表(当地重力加速度9.8m/s2,小球质量m=0.2kg,结果保留三位有效数字):
| 时刻 | t2 | t3 | t4 | t5 |
| 速度(m/s) | 4.99 | 4.48 | 3.98 | ? |
②从t2到t5时间内,重力势能增量△Ep=______J,动能减少量△Ek=______J;
③在误差允许的范围内,若△Ep与△Ek近似相等,从而验证了机械能守恒定律.由上述计算得△E p______△E k (选填“>”、“<”或“=”),造成这种结果的主要原因是______.