题目内容
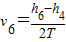
某同学在应用打点计时器做验证机械能守恒定律实验中,获取一根纸带如图,但测量发现0、1两点距离远大于2mm,且0、1和1、2间有点漏打或没有显示出来,而其他所有打点都是清晰完整的,现在该同学用刻度尺分别量出2、3、4、5、6、7六个点到0点的长度hi(i=1.2.3…6),再分别计算得到3、4、5、6四个点的速度vi和vi2(i=2.3.4.5),已知打点计时器打点周期为T.(1)该同学求6号点速度的计算式是:v6=______
(2)然后该同学将计算得到的四组(hi,vi2 )数据在v2-h坐标系中找到对应的坐标点,将四个点连接起来得到如图所示的直线,请你回答:接下来他是如何判断重锤下落过程机械能守恒的?(说明理由)
【答案】分析:(1)根据某段时间内的平均速度等于中间时刻的瞬时速度求出6号点的瞬时速度.
(2)根据机械能守恒定律得出v2-h的关系式,得出斜率的物理意义,与测量的斜率进行比较,在误差允许的范围内相等,则机械能守恒.
解答:解:(1)6号点的瞬时速度等于第5点和第7点间的平均速度,所以
.
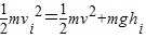
(2)根据机械能守恒定律得,从O点到任意i点有:
得:
,则
关系是一条直线,斜率为2g.
所以在直线上取相对较远的两点,计算出斜率,与2g比较,在实验误差范围相等,则机械能守恒.
故答案为:(1)
(2)判断计算出
关系图线的斜率与2g比较,在实验误差范围相等,则机械能守恒.
点评:解决本题的关键知道实验的原理,掌握瞬时速度的求法,知道也可以通过图象法验证机械能守恒定律.
(2)根据机械能守恒定律得出v2-h的关系式,得出斜率的物理意义,与测量的斜率进行比较,在误差允许的范围内相等,则机械能守恒.
解答:解:(1)6号点的瞬时速度等于第5点和第7点间的平均速度,所以
(2)根据机械能守恒定律得,从O点到任意i点有:
得:
所以在直线上取相对较远的两点,计算出斜率,与2g比较,在实验误差范围相等,则机械能守恒.
故答案为:(1)
点评:解决本题的关键知道实验的原理,掌握瞬时速度的求法,知道也可以通过图象法验证机械能守恒定律.
练习册系列答案
相关题目