题目内容

在研究平抛运动的实验中,用一张印有小方格的纸记录轨迹,小方格的边长L=1.25 cm,若小球在平抛运动途中的几个位置如图中a、b、c、d所示,则小球平抛的初速度的计算式为v0=________(用L、g表示),其值是________.

答案:
解析:

  答案: 0.70 m/s

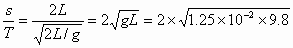
  解析:平抛运动的竖直分运动是自由落体运动,即初速度为零的匀加速直线运动,水平分运动是匀速直线运动,由ab=bc=cd知相邻两点的时间间隔相等,设为T,竖直方向相邻两点间隔之差相等,Δs=L,则Δs=gT2得:L=gT2

  时间T内,水平位移为s=2 L,解得

  v0m/s=0.70 m/s.


练习册系列答案
相关题目

违法和不良信息举报电话:027-86699610 举报邮箱:58377363@163.com

精英家教网