ÌâÄ¿ÄÚÈÝ

2010Äê10ÔÂ1ÈÕ£¬ÎÒ¹úµÚ¶þ¿Å̽ÔÂÎÀÐÇ¡°æÏ¶ð¶þºÅ¡±³É¹¦·¢É䣬¡°æÏ¶ð¶þºÅ¡±×îÖÕ½øÈë¾àÔÂÃæh=200kmµÄÔ²Ðι¤×÷¹ìµÀ£¬¿ªÊ¼½øÐпÆÑ§Ì½²â»î¶¯£¬ÉèÔÂÇò°ë¾¶ÎªR£¬ÔÂÇò±íÃæµÄÖØÁ¦¼ÓËÙ¶ÈΪg£¬ÍòÓÐÒýÁ¦³£Á¿ÎªG£¬ÔòÏÂÁÐ˵·¨ÕýÈ·µÄÊÇ£º

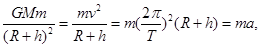
A£®æÏ¶ð¶þºÅÈÆÔÂÇòÔËÐеÄÖÜÆÚΪ    

B£®ÔÂÇòµÄƽ¾ùÃܶÈΪ

C£®æÏ¶ð¶þºÅÔÚ¹¤×÷¹ìµÀÉϵÄÈÆÐÐËÙ¶ÈΪ

D£®ÔÚæÏ¶ð¶þºÅµÄ¹¤×÷¹ìµÀ´¦µÄÖØÁ¦¼ÓËÙ¶ÈΪ

 

¡¾´ð°¸¡¿

BD.

¡¾½âÎö¡¿

ÊÔÌâ·ÖÎö£º£¬£¬¿ÉµÃÔÂÇòµÄƽ¾ùÃܶÈΪ£»BÕýÈ·£¬ÔÚæÏ¶ð¶þºÅµÄ¹¤×÷¹ìµÀ´¦µÄÖØÁ¦¼ÓËÙ¶ÈΪ£¬DÕýÈ·£»æÏ¶ð¶þºÅÈÆÔÂÇòÔËÐеÄÖÜÆÚΪ£¬A´íÎó£»æÏ¶ð¶þºÅÔÚ¹¤×÷¹ìµÀÉϵÄÈÆÐÐËÙ¶ÈΪ£¬C´íÎó£»

¿¼µã£º¿¼²éÁËÌìÌåÔ˶¯¹æÂÉ

µãÆÀ£º±¾ÌâÊÇÎÀÐÇÀàÐ͵ÄÎÊÌ⣬³£³£½¨Á¢ÕâÑùµÄÄ£ÐÍ£º»·ÈÆÌìÌåÈÆÖÐÐÄÌìÌå×öÔÈËÙÔ²ÖÜÔ˶¯£¬ÓÉÖÐÐÄÌìÌåµÄÍòÓÐÒýÁ¦ÌṩÏòÐÄÁ¦£®ÖØÁ¦¼ÓËÙ¶ÈgÊÇÁªÏµÐÇÇò±íÃæºê¹ÛÎïÌåÔ˶¯ºÍÌìÌåÔ˶¯µÄÇÅÁº£®

 

Á·Ï°²áϵÁдð°¸
Ïà¹ØÌâÄ¿
¾«Ó¢¼Ò½ÌÍø¡°æÏ¶ð¶þºÅ¡±Ì½ÔÂÎÀÐÇÓÚ2010Äê10ÔÂ1ÈÕ18ʱ59·ÖÔÚÎ÷²ýÎÀÐÇÖÐÐÄ·¢ÉäÉý¿Õ£¬ÑصØÔÂ×ªÒÆ¹ìµÀÖ±±¼ÔÂÇò£¬6ÈÕÔÚ¾àÔÂÇò±íÃæ100kmµÄ½üÔµãP´¦£¬µÚÒ»´Î¡°É²³µÖƶ¯¡±ºó±»ÔÂÇò²¶»ñ£¬½øÈëÍÖÔ²¹ìµÀIÈÆÔ·ÉÐУ®Õâ´Î¼õËÙÖ»ÓÐÒ»´Î»ú»á£¬Èç¹û¡°É²³µ¡±Á¦¶È²»¹»£¬ÎÀÐÇ»á·É³öÔÂÇòµÄÒýÁ¦·¶Î§£¬²»±»ÔÂÇò²¶»ñ£¬´Ó¶ø²»ÄÜ»·ÈÆÔÂÇòÔ˶¯£®Èç¹ûɲ³µÁ¦¶È¹ý´ó£¬ÎÀÐǾͿÉÄÜײÉÏÔÂÇò£¬Æäºó¹ûͬÑù²»¿°ÉèÏ룮֮ºóÎÀÐÇÔÚPµãÓÖ¾­¹ýÁ½´Î¡°É²³µÖƶ¯¡±£¬×îºóÔÚ¾àÔÂÇò±íÃæ100kmµÄÔ²ÐιìµÀ¢óÉÏÈÆÔÂÇò×öÔÈËÙÔ²ÖÜÔ˶¯£¬ÆäÕû¸ö¹ý³ÌµÄÔ˶¯¹ì¼£ÈçͼËùʾ£®ÏÂÁÐ˵·¨ÖÐÕýÈ·µÄÊÇ£¨¡¡¡¡£©

Î¥·¨ºÍ²»Á¼ÐÅÏ¢¾Ù±¨µç»°£º027-86699610 ¾Ù±¨ÓÊÏ䣺58377363@163.com

¾«Ó¢¼Ò½ÌÍø