ÌâÄ¿ÄÚÈÝ

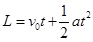
ÈçͼËùʾ£¬Ò»ÖÊÁ¿m=0.4kgµÄСÎï¿é£¬ÒÔV0=2m/sµÄ³õËÙ¶È£¬ÔÚÓëÐ±Ãæ³Éijһ¼Ð½ÇµÄÀ­Á¦F×÷ÓÃÏ£¬ÑØÐ±ÃæÏòÉÏ×öÔȼÓËÙÔ˶¯£¬¾­t=2sµÄʱ¼äÎï¿éÓÉAµãÔ˶¯µ½Bµã£¬A¡¢BÖ®¼äµÄ¾àÀëL=10m¡£ÒÑÖªÐ±ÃæÇã½Ç¦È=30o£¬Îï¿éÓëÐ±ÃæÖ®¼äµÄ¶¯Ä¦²ÁÒòÊý¡£ÖØÁ¦¼ÓËÙ¶ÈgÈ¡10 m/s2.

£¨1£©ÇóÎï¿é¼ÓËٶȵĴóС¼°µ½´ïBµãʱËٶȵĴóС¡£

£¨2£©À­Á¦FÓëÐ±ÃæµÄ¼Ð½Ç¶à´óʱ£¬À­Á¦F×îС£¿À­Á¦FµÄ×îСֵÊǶàÉÙ£¿

 

¡¾´ð°¸¡¿

£¨1£©£¬£»£¨2£©

¡¾½âÎö¡¿

ÊÔÌâ·ÖÎö£º£¨1£©ÉèÎï¿é¼ÓËٶȵĴóСΪa£¬µ½´ïBµãʱËٶȵĴóСΪv£¬ÓÉÔ˶¯Ñ§¹«Ê½µÃ

         ¢Ù

         ¢Ú

ÁªÁ¢¢Ù¢ÚµÃ           ¢Û

         ¢Ü

£¨2£©ÉèÎïÌåÁ¦ÊÜÖ§³ÖÁ¦Îª£¬ËùÊÜĦ²ÁÁ¦Îª£¬À­Á¦ÓëÐ±ÃæµÄ¼Ð½ÇΪ£¬ÊÜÁ¦·ÖÎöÈçͼËùʾ£¬

ÓÉÅ£¶ÙµÚ¶þ¶¨ÂɵÃ

      ¢Ý

      ¢Þ

ÓÖ       ¢ß

ÁªÁ¢¢Ý¢Þ¢ßʽµÃ

         ¢à

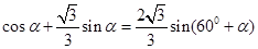
ÓÉÊýѧ֪ʶµÃ

       ¢á

ÓÉ¢à¢áʽ¿ÉÖª¶ÔÓ¦F×îСµÄ¼Ð½ÇΪ      ¢â

ÁªÁ¢¢Û¢à¢âʽ£¬´úÈëÊý¾ÝµÃFµÄ×îСֵΪ

¿¼µã£ºÅ£¶ÙµÚ¶þ¶¨ÂÉ£¬ÎïÌåÊÜÁ¦·ÖÎö

 

Á·Ï°²áϵÁдð°¸
Ïà¹ØÌâÄ¿

Î¥·¨ºÍ²»Á¼ÐÅÏ¢¾Ù±¨µç»°£º027-86699610 ¾Ù±¨ÓÊÏ䣺58377363@163.com

¾«Ó¢¼Ò½ÌÍø