题目内容
直流电动机的内电阻r=2Ω,与R=8Ω的电阻串连接在线圈上,如图所示.已知线圈面积为求:电动机正常工作时的输出功率?
【答案】分析:先根据线圈转动时产生的电动势的最大值公式求出最大值,进而求出有效值,根据闭合电路欧姆定律求出电流,电动机正常工作时的输出功率等于总功率减去内阻消耗的功率.
解答:解:ω=2πn=20πrad/s
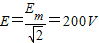
线圈转动时产生的电动势的最大值为:Em=NBSω=200
V
有效值为:
设线圈的电阻为r′,则电路中的电流I为I=
=10A
电动机正常工作时的输出功率为P=UI-I2r=800W
答:电动机正常工作时的输出功率为800W.
点评:本题是简单的交流发电机的原理,考查综合应用法拉第定律、欧姆定律、楞次定律等电磁学规律分析实际问题的能力.
解答:解:ω=2πn=20πrad/s
线圈转动时产生的电动势的最大值为:Em=NBSω=200
有效值为:
设线圈的电阻为r′,则电路中的电流I为I=
电动机正常工作时的输出功率为P=UI-I2r=800W
答:电动机正常工作时的输出功率为800W.
点评:本题是简单的交流发电机的原理,考查综合应用法拉第定律、欧姆定律、楞次定律等电磁学规律分析实际问题的能力.
练习册系列答案
相关题目