题目内容
如图所示,在倾角为θ的光滑斜面上,存在着两个磁感应强度大小均为B的匀强磁场,区域I的磁场方向垂直斜面向上,区域Ⅱ的磁场方向垂直斜面向下,磁场的宽度均为L.一个质量为m、电阻为R、边长也为L的正方形导线框,在零时刻由静止开始沿斜面下滑.t1时ab边刚越过GH进入磁场I区,此时线框恰好以速度v1做匀速直线运动;t2时ab边下滑到.JP与MN的中间位置,此时线框又恰好以速度v2做匀速直线运动.重力加速度为g.则下列说法中正确的有( )A.t1时,通过线框的电流强度l=
B.线框两次匀速直线运动的速度之比v1:v2=2:1
C.从t1到t2的过程中,线框克服安培力做功的大小等于重力势能的减少量
D.从t1到t2的过程中,有
【答案】分析:线框恰好匀速直线运动,说明受力平衡,由平衡条件求出安培力,求出电流、电动势,进而求得速度,理解能量守恒定律的应用,明确能之间的转化及守恒.
解答:解:A、t1时,线框恰好匀速直线运动,则感应电动势为E=Blv,由欧姆定律得,I=
,故A正确
B、线框两次都做匀速直运动,说明受力平衡,由平衡条件得沿斜面方向:F=mgsinθ,
F=BIL=
,解得v1:v2=4:1,故B错误
C、从t1到t2的过程中,线框克服安培力做功的大小等于重力势能的减少量加上动能的减少量,故C错误
D、从t1到t2的过程中,根据能量守恒,损失的重力势能
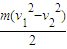
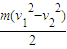
和减少的动能
克服安培力做功转化为为电能,故有
+
的机械能转化为电能,故D正确
故选AD
点评:考查了电磁感应,电动势的求法、欧姆定律,在电磁感应中的能量转化.
解答:解:A、t1时,线框恰好匀速直线运动,则感应电动势为E=Blv,由欧姆定律得,I=
B、线框两次都做匀速直运动,说明受力平衡,由平衡条件得沿斜面方向:F=mgsinθ,
F=BIL=
C、从t1到t2的过程中,线框克服安培力做功的大小等于重力势能的减少量加上动能的减少量,故C错误
D、从t1到t2的过程中,根据能量守恒,损失的重力势能
故选AD
点评:考查了电磁感应,电动势的求法、欧姆定律,在电磁感应中的能量转化.
练习册系列答案
相关题目