ÌâÄ¿ÄÚÈÝ
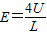
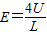
ÈçͼËùʾ£¬A¡¢BΪÁ½¿éƽÐнðÊô°å£¬A°å´øÕýµç¡¢B°å´ø¸ºµç£®Á½°åÖ®¼ä´æÔÚ×ÅÔÈÇ¿µç³¡£¬Á½°å¼ä¾àΪd¡¢µçÊÆ²îΪU£¬ÔÚB°åÉÏ¿ªÓÐÁ½¸ö¼ä¾àΪLµÄС¿×£®C¡¢DΪÁ½¿éͬÐİëÔ²ÐνðÊô°å£¬Ô²ÐͼÔÚÌù½üB°åµÄO¡äµã´¦£¬ÇÒC´øÕýµç£¬D´ø¸ºµç£®C¡¢DÁ½°å¼äµÄ¾àÀëºÜ½ü£¬Á½°åÄ©¶ËµÄÖÐÐÄÏßÕý¶Ô×ÅB°åÉϵÄС¿×£¬Á½°å¼äµÄµç³¡Ç¿¶È¿ÉÈÏΪ´óС´¦´¦ÏàµÈ£¬·½Ïò¶¼Ö¸ÏòO¡ä£®°ëÔ²ÐνðÊô°åÁ½¶ËÓëB°åµÄ¼ä϶¿ÉºöÂÔ²»¼Æ£®ÏÖ´ÓÕý¶ÔB°åС¿×½ô¿¿A°åµÄOµã´¦Óɾ²Ö¹ÊÍ·ÅÒ»¸öÖÊÁ¿Îªm¡¢µçÁ¿ÎªqµÄ´øÕýµç΢Á££¨Î¢Á£µÄÖØÁ¦²»¼Æ£©£¬Ç󣺣¨1£©Î¢Á£´©¹ýB°åС¿×ʱµÄËÙ¶È´óС£»
£¨2£©Î¢Á£Ç¡ÄÜÔÚCD°å¼äÔ˶¯¶ø²»Åö°å£¬CD°å¼äµÄµç³¡Ç¿¶È´óС£»
£¨3£©´Ó¾²Ö¹ÊÍ·Å¿ªÊ¼µ½Î¢Á£µÚ¶þ´Îͨ¹ý°ëÔ²ÐνðÊô°å¼äµÄ×îµÍµãPµÄʱ¼ä£»
£¨4£©ÊÔ»³ö΢Á£Óɾ²Ö¹Êͷŵ½µÚ¶þ´Îͨ¹ý°ëÔ²ÐνðÊô°å¼äµÄ×îµÍµãPµÄËÙÂÊ-ʱ¼äͼÏó£®
¡¾´ð°¸¡¿·ÖÎö£ºÔËÓö¯Äܶ¨ÀíÑо¿Î¢Á£ÔÚ¼ÓËٵ糡µÄ¹ý³Ì£®
΢Á£½øÈë°ëÔ²ÐνðÊô°åºó£¬µç³¡Á¦ÌṩÏòÐÄÁ¦£¬ÁгöµÈʽ£®
ÔȼÓËÙÖ±ÏßÔ˶¯ºÍÔÈËÙÔ²ÖÜÔ˶¯ÔËÓø÷×ԵĹæÂÉÇó½âʱ¼ä£®
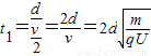
½â´ð£º½â£º£¨1£©Éè΢Á£´©¹ýB°åС¿×ʱµÄËÙ¶ÈΪv£¬¸ù¾Ý¶¯Äܶ¨Àí£¬ÓÐ
¢Ù
½âµÃ
£¨2£©Î¢Á£½øÈë°ëÔ²ÐνðÊô°åºó£¬µç³¡Á¦ÌṩÏòÐÄÁ¦£¬
¢Ú
ÁªÁ¢¢Ù¡¢¢Ú£¬µÃ
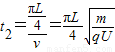
£¨3£©Î¢Á£´ÓÊÍ·Å¿ªÊ¼¾t1Éä³öB°åµÄС¿×£¬Ôò
Éè΢Á£ÔÚ°ëÔ²ÐνðÊô°å¼äÔ˶¯¾¹ýt2µÚÒ»´Îµ½´ï×îµÍµãPµã£¬
Ôò
ËùÒÔ´ÓÊÍ·Å΢Á£¿ªÊ¼£¬¾¹ý£¨t1+t2£©Á£×ÓµÚÒ»´Îµ½´ïPµã£®Ö®ºó£¬¾¹ýt2´ïµ½B°å£¬ÔÙ¾¹ýt1´ïµ½A°å£¬È»ºó·µ»Ø£»¾¹ý£¨t1+t2£©µÚ¶þ´Î´ïµ½Pµã£®
´Ó¿ªÊ¼Ô˶¯µ½µÚ¶þ´Î´ïµ½PµÄ×Üʱ¼ä£º
£¨4£©¸ù¾ÝÇ°ÃæµÄ¼ÆËãºÍ˵Ã÷£¬´Ó¿ªÊ¼Ô˶¯µ½µÚ¶þ´Î´ïµ½PµÄʱ¼äÄÚµÄËÙÂÊ-ʱ¼äͼÏóÈçͼËùʾ£®

´ð£º£¨1£©Î¢Á£´©¹ýB°åС¿×ʱµÄËÙ¶ÈΪ
£¨2£©CD°å¼äµÄµç³¡Ç¿¶È´óСӦÂú×ã
£¨3£©´Ó¿ªÊ¼Ô˶¯µ½µÚ¶þ´Î´ïµ½PµÄ×Üʱ¼ä
£®
£¨4£©Èçͼ£®
µãÆÀ£ºÁ˽âÑо¿¶ÔÏóµÄÔ˶¯¹ý³ÌÊǽâ¾öÎÊÌâµÄǰÌᣬ¸ù¾ÝÌâÄ¿ÒÑÖªÌõ¼þºÍÇó½âµÄÎïÀíÁ¿Ñ¡ÔñÎïÀí¹æÂɽâ¾öÎÊÌ⣮
Ô²ÖÜÔ˶¯ÎÊÌâµÄ½â¾öÎö¹Ø¼üҪͨ¹ýÊÜÁ¦·ÖÎöÕÒ³öÏòÐÄÁ¦µÄÀ´Ô´£®
΢Á£½øÈë°ëÔ²ÐνðÊô°åºó£¬µç³¡Á¦ÌṩÏòÐÄÁ¦£¬ÁгöµÈʽ£®
ÔȼÓËÙÖ±ÏßÔ˶¯ºÍÔÈËÙÔ²ÖÜÔ˶¯ÔËÓø÷×ԵĹæÂÉÇó½âʱ¼ä£®
½â´ð£º½â£º£¨1£©Éè΢Á£´©¹ýB°åС¿×ʱµÄËÙ¶ÈΪv£¬¸ù¾Ý¶¯Äܶ¨Àí£¬ÓÐ
½âµÃ
£¨2£©Î¢Á£½øÈë°ëÔ²ÐνðÊô°åºó£¬µç³¡Á¦ÌṩÏòÐÄÁ¦£¬
ÁªÁ¢¢Ù¡¢¢Ú£¬µÃ
£¨3£©Î¢Á£´ÓÊÍ·Å¿ªÊ¼¾t1Éä³öB°åµÄС¿×£¬Ôò
Éè΢Á£ÔÚ°ëÔ²ÐνðÊô°å¼äÔ˶¯¾¹ýt2µÚÒ»´Îµ½´ï×îµÍµãPµã£¬
Ôò
ËùÒÔ´ÓÊÍ·Å΢Á£¿ªÊ¼£¬¾¹ý£¨t1+t2£©Á£×ÓµÚÒ»´Îµ½´ïPµã£®Ö®ºó£¬¾¹ýt2´ïµ½B°å£¬ÔÙ¾¹ýt1´ïµ½A°å£¬È»ºó·µ»Ø£»¾¹ý£¨t1+t2£©µÚ¶þ´Î´ïµ½Pµã£®
´Ó¿ªÊ¼Ô˶¯µ½µÚ¶þ´Î´ïµ½PµÄ×Üʱ¼ä£º
£¨4£©¸ù¾ÝÇ°ÃæµÄ¼ÆËãºÍ˵Ã÷£¬´Ó¿ªÊ¼Ô˶¯µ½µÚ¶þ´Î´ïµ½PµÄʱ¼äÄÚµÄËÙÂÊ-ʱ¼äͼÏóÈçͼËùʾ£®
´ð£º£¨1£©Î¢Á£´©¹ýB°åС¿×ʱµÄËÙ¶ÈΪ
£¨2£©CD°å¼äµÄµç³¡Ç¿¶È´óСӦÂú×ã
£¨3£©´Ó¿ªÊ¼Ô˶¯µ½µÚ¶þ´Î´ïµ½PµÄ×Üʱ¼ä
£¨4£©Èçͼ£®
µãÆÀ£ºÁ˽âÑо¿¶ÔÏóµÄÔ˶¯¹ý³ÌÊǽâ¾öÎÊÌâµÄǰÌᣬ¸ù¾ÝÌâÄ¿ÒÑÖªÌõ¼þºÍÇó½âµÄÎïÀíÁ¿Ñ¡ÔñÎïÀí¹æÂɽâ¾öÎÊÌ⣮
Ô²ÖÜÔ˶¯ÎÊÌâµÄ½â¾öÎö¹Ø¼üҪͨ¹ýÊÜÁ¦·ÖÎöÕÒ³öÏòÐÄÁ¦µÄÀ´Ô´£®
Á·Ï°²áϵÁдð°¸
Ïà¹ØÌâÄ¿
| A¡¢´Ócµ½dµçÊÆÏȼõСºóÔö´ó | B¡¢ÔÚcd¼ä×öÍù¸´Ô˶¯£¬¾OµãʱËÙ¶È×î´ó | C¡¢´Ócµ½O¼ÓËٶȼõС£¬´ÓOµ½d¼ÓËÙ¶ÈÔö´ó | D¡¢Ô˶¯¹ý³ÌÖж¯ÄÜÓëµçÊÆÄÜ×ÜÁ¿²»±ä |