题目内容
调节水龙头,让水一滴滴流出,在下方放一盘子,调节盘子高度,使一滴水滴碰到盘子时,恰有另一滴水滴开始下落,而空中还有一滴正在下落中的水滴,测出水龙头到盘子的距离为h,从第一滴开始下落时计时,到第n滴水滴落在盘子中,共用去时间t,则此时第(n+1)滴水滴与盘子的距离为 ; 当地的重力加速度为 .
【答案】分析:当一滴水碰到盘子时,恰好有另一滴水从水龙头开始下落,而空中还有一个正在下落的水滴,知水滴将h分成时间相等的2份,根据初速度为0的匀加速运动,在相等时间内的位移比为1:3,求出第二滴水离盘子的高度.
从第一滴水离开水龙头开始,到第N滴水落至盘中(即N+2滴水离开水龙头),共用时间为t(s),知道两滴水间的时间间隔,根据h=
求出重力加速度.
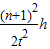
解答:解:由题意可知,水滴将h分成时间相等的2份,2份相等时间的位移比为1:3,总高度为h,所以第n滴水滴落在盘子中,第(n+1)滴水滴与盘子的距离为
;
从第一滴水离开水龙头开始,到第n滴水落至盘中(即N+2滴水离开水龙头),共用时间为t(s),知道两滴水间的时间间隔为△t=
所以水从水龙头到盘子的时间为t′=
,根据h=
gt′2,得:g=
故答案为:
;
点评:解决本题的关键知道初速度为零的匀加速直线运动,在相等时间间隔内位移比为1:3:5.以及掌握h=
求出重力加速度.
从第一滴水离开水龙头开始,到第N滴水落至盘中(即N+2滴水离开水龙头),共用时间为t(s),知道两滴水间的时间间隔,根据h=
解答:解:由题意可知,水滴将h分成时间相等的2份,2份相等时间的位移比为1:3,总高度为h,所以第n滴水滴落在盘子中,第(n+1)滴水滴与盘子的距离为
从第一滴水离开水龙头开始,到第n滴水落至盘中(即N+2滴水离开水龙头),共用时间为t(s),知道两滴水间的时间间隔为△t=
故答案为:
点评:解决本题的关键知道初速度为零的匀加速直线运动,在相等时间间隔内位移比为1:3:5.以及掌握h=
练习册系列答案
相关题目