题目内容

(12分)动车组是城际间实现小编组、大密度的高效运输工具,以其编组灵活、方便、快捷、安全、可靠、舒适等特点而备受世界各国铁路运输和城市轨道交通运输的青睐.动车组就是几节自带动力的车厢加几节不带动力的车厢编成一组,就是动车组.假设有一动车组由8节车厢连接而成,每节车厢的总质量均为7.5×104 kg.其中第一节、第二节带动力,他们的额定功率分别为3.6×107 W和2.4×107 W,车在行驶过程中阻力恒为重力的0.1倍(g=10 m/s2

(1)求该动车组只开动第一节的动力的情况下能达到的最大速度.

(2)若列车从A地沿直线开往B地,先以恒定的功率6×107 W(同时开动第一、第二节的动力)从静止开始启动,达到最大速度后匀速行驶,最后除去动力,列车在阻力作用下匀减速至B地恰好速度为0.已知AB间距为5.0×104 m,求列车从A地到B地的总时间.

 

【答案】

(1)60 m/s    (2)600s

【解析】

试题分析:(1)只开动第一节动力的前提下,当第一节以额定功率运行且列车的牵引力等于阻力时达到最大速度:  

得:60 m/s      (其中阻力)

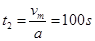
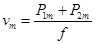
(2)列车以恒定的功率6×107 W(同时开动第一、第二节的动力)从静止开始启动,当牵引力等于阻力时达到最大速度   代入数据解得:

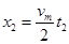
设列车从C点开始做匀减速运动,令A到C的时间为t1,AC间距为x1;C到B的时间为t2,CB间距为x2,在CB间匀减速运动的加速度大小为a,列车的总重量M=8mg=6.0×105 kg,运动示意图如下 .

从C到B由牛顿第二定律和运动学公式得:

   代入数据解得: 

   代入数据解得: 

      代入数据解得:  

所以  

从A到C的用动能定理得:

代入数据解得:t1=500s

所以:

考点:本题考查动能定理的应用、牛顿第二定律、功率、平均功率和瞬时功率,同时考查考生分析综合能力.

 

练习册系列答案
相关题目

违法和不良信息举报电话:027-86699610 举报邮箱:58377363@163.com

精英家教网