题目内容
物体以速度v匀速通过直线上的A、B两点需要的时间为t.现在物体由A点静止出发,先做加速度大小为a1的匀加速运动到某一最大速度vm后立即做加速度大小为a2的匀减速运动至B点停下,历时仍为t,则物体的( )A.最大速度vm只能为2v,无论a1、a2为何值
B.最大速度vm可为许多值,与a1、a2的大小有关
C.a1、a2值必须是一定的,且a1、a2的值与最大速度vm有关
D.a1、a2必须满足
【答案】分析:(1)当物体匀速通过A、B两点时,x=vt.当物体先匀加速后匀减速通过A、B两点时,根据平均速度公式,总位移x=
t1+
t2=
t,从而可得知vm与v的关系.
(2)匀加速运动的时间和匀减速运动的时间之和t=
+
,再根据vm与v的关系得出a1、a2所满足的条件.
解答:解:当物体匀速通过A、B两点时,x=vt.当物体先匀加速后匀减速通过A、B两点时,根据平均速度公式,总位移x=
t1+
t2=
t,则
=v得vm=2v.
与a1、a2的大小无关.故A正确,B错误.
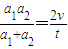
匀加速运动的时间和匀减速运动的时间之和t=
+
,而vm=2v,代入得t=
+
整理得:
.故C错误,D正确.
故选AD.
点评:解决本题关键掌握匀变速直线运动的平均速度的公式
从而得出先匀加速后匀减速运动的位移x.
(2)匀加速运动的时间和匀减速运动的时间之和t=
解答:解:当物体匀速通过A、B两点时,x=vt.当物体先匀加速后匀减速通过A、B两点时,根据平均速度公式,总位移x=
与a1、a2的大小无关.故A正确,B错误.
匀加速运动的时间和匀减速运动的时间之和t=
故选AD.
点评:解决本题关键掌握匀变速直线运动的平均速度的公式
练习册系列答案
相关题目