题目内容

以10m/s的速度将质量是m的物体从地面竖直向上抛出.若忽略空气阻力,求:

(1)物体上升的最大高度;

(2)上升过程中何处重力势能和动能相等?(以地面为参考面)

答案:5m;2.5m
解析:

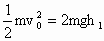
(1)以地面为参考面,设物体上升高度为h,由机械能守恒定律得

,即,所以

(2)在地面:

在高处:

由机械能守恒定律

解得


练习册系列答案
相关题目

违法和不良信息举报电话:027-86699610 举报邮箱:58377363@163.com

精英家教网