ÌâÄ¿ÄÚÈÝ

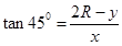
ÈçͼËùʾ£¬Çã½ÇΪ45¡ãµÄ´Ö²ÚÐ±ÃæABµ×¶ËÓë°ë¾¶R=0.4mµÄ¹â»¬°ëÔ²¹ìµÀBCƽ»¬Ïà½Ó£¬OΪ¹ìµÀÔ²ÐÄ£¬BCΪԲ¹ìµÀÖ±¾¶ÇÒ´¦ÓÚÊúÖ±Æ½ÃæÄÚ£¬A¡¢CÁ½µãµÈ¸ß£®ÖÊÁ¿m=1kgµÄ»¬¿é´ÓAµãÓɾ²Ö¹¿ªÊ¼Ï»¬£¬Ç¡ÄÜ»¬µ½ÓëOµÈ¸ßµÄDµã£¬gÈ¡10m/s2£®Çó£º

£¨1£©Ç󻬿éÓëÐ±Ãæ¼äµÄ¶¯Ä¦²ÁÒòÊý¦Ì£»

£¨2£©Èôʹ»¬¿éÄܵ½´ïCµã£¬Ç󻬿éÖÁÉÙ´ÓÀëµØ¶à¸ß´¦Óɾ²Ö¹¿ªÊ¼Ï»¬£»

£¨3£©Èô»¬¿éÀ뿪C´¦ºóÇ¡ÄÜ´¹Ö±´òÔÚÐ±ÃæÉÏ£¬Ç󻬿龭¹ýCµãʱ¶Ô¹ìµÀµÄѹÁ¦£®

 

¡¾´ð°¸¡¿

£¨1£©0.5 £¨2£©2m£¨3£©3.3N

¡¾½âÎö¡¿

ÊÔÌâ·ÖÎö£º£¨1£©ÓÉAµ½D£¬¸ù¾Ý¶¯Äܶ¨Àí¿ÉµÃ

½âµÃ

£¨2£©Èô»¬¿éÇ¡Äܵ½´ïCµã£¬¸ù¾ÝÅ£¶Ù¶¨ÂÉ ,½âµÃ

´Ó¸ßΪHµÄ×î¸ßµãµ½CµÄ¹ý³Ì£¬¸ù¾Ý¶¯Äܶ¨Àí £¬½âµÃH=2m

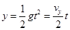
(3)lÀ뿪Cµãºó»¬¿é×öƽÅ×Ô˶¯£¬´¹Ö±´òµ½Ð±ÃæÉÏʱÓÐ

 

½âµÃ

ÔÚCµã£¬¸ù¾ÝÅ£¶ÙµÚ¶þ¶¨ÂÉÓÐ

 

ÇóµÃ£º

ÓÉÅ£¶ÙµÚÈý¶¨ÂÉ¿ÉÖª£¬»¬¿é¶Ô¹ìµÀµÄѹÁ¦Îª   ·½ÏòÊúÖ±ÏòÉÏ   

¿¼µã£º´ËÌ⿼²éÔ²ÖÜÔ˶¯¼°Æ½Å×Ô˶¯£»¿¼²éÅ£¶Ù¶¨ÂÉ¡¢¶¯Äܶ¨ÀíµÈÎïÀí¹æÂÉ¡£

 

Á·Ï°²áϵÁдð°¸
Ïà¹ØÌâÄ¿

Î¥·¨ºÍ²»Á¼ÐÅÏ¢¾Ù±¨µç»°£º027-86699610 ¾Ù±¨ÓÊÏ䣺58377363@163.com

¾«Ó¢¼Ò½ÌÍø