题目内容
一辆卡车,它急刹车时的加速度大小是5m/s2,如果要求它急刹车后22.5m内必须停下,假设卡车刹车过程做的是匀减速直线运动,求:(1)它的行驶速度不能超过多少?
(2)此刹车过程所用的时间?
(3)在此过程中卡车的平均速度?
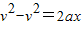
【答案】分析:(1)根据速度位移公式
,求出卡车的最大行驶速度.
(2)根据速度时间公式v=v+at,求出卡车的行驶时间.
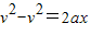
(3)根据平均速度公式
或
求出卡车的平均速度.
解答:解析:(1)卡车刹车过程做减速运动
由
得
v=15 m/s
故卡车行驶的速度不能超过15 m/s.
(2)设刹车过程中用时间为t
由v=v+at,得
t=
故刹车所用的时间为3s.
(3)
=7.5 m/s
故卡车在此过程中的平均速度为7.5m/s
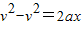
点评:解决本题的关键掌握速度位移公式
,以及速度时间公式v=v+at.
(2)根据速度时间公式v=v+at,求出卡车的行驶时间.
(3)根据平均速度公式
解答:解析:(1)卡车刹车过程做减速运动
由
v=15 m/s
故卡车行驶的速度不能超过15 m/s.
(2)设刹车过程中用时间为t
由v=v+at,得
t=
故刹车所用的时间为3s.
(3)
故卡车在此过程中的平均速度为7.5m/s
点评:解决本题的关键掌握速度位移公式
练习册系列答案
相关题目