题目内容
作匀加速直线运动的物体,依次通过a、b、c三点,位移Xab=Xbc.已知物体在ab段的平均速度为3m/s,在bc段的平均速度大小为6m/s,那么物体在b点时的瞬时速度的大小为多少?
【答案】分析:物体做匀加速直线运动,对AB、BC两段过程分别根据速度位移关系式列方程,得出A、B、C三点的速度与位移的关系,根据AB段和BC段的平均速度与A、B、C三点的速度列式,联立求出vB.
解答:解:(1)设加速度大小为a,经A、C的速度大小分别为vA、vC.
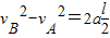
据匀加速直线运动规律可得:




联立可得:
.
答:在b点时的瞬时速度的大小为5m/s.
点评:本题关键要充分运用好条件:ab、bc的距离相等,以及两段的平均速度,灵活运用运动学公式求解.
解答:解:(1)设加速度大小为a,经A、C的速度大小分别为vA、vC.
据匀加速直线运动规律可得:
联立可得:
答:在b点时的瞬时速度的大小为5m/s.
点评:本题关键要充分运用好条件:ab、bc的距离相等,以及两段的平均速度,灵活运用运动学公式求解.
练习册系列答案
相关题目