题目内容
我国发射的“嫦娥一号”卫星发射后首先进入绕地球运行的“停泊轨道”,通过加速再进入椭圆“过渡轨道”,该轨道离地心最近距离为L1,最远距离为L2,卫星快要到达月球时,依靠火箭的反向助推器减速,被月球引力“俘获”后,成为环月球卫星,最终在离月心距离L3的“绕月轨道”上飞行.已知地球半径为R,月球半径为r,地球表面重力加速度为g,月球表面的重力加速度为g/6,求:(1)卫星在“停泊轨道”上运行的周期,
(2)卫星在“绕月 轨道”上运行的线速度.
【答案】分析:(1)万有引力提供向心力
,地球表面的物体受到的重力等于万有引力
,由以上二式可解得卫星在“停泊轨道”上运行的周期T.
(2)万有引力提供向心力
,在月球表面的物体受到的重力等于万有引力
=
,由以上二式可解得卫星在“绕月轨道”上运行的线速度v2.
解答:解:(1)根据万有引力提供向心力
解得:
在地球表面的物体受到的重力等于万有引力
得:
所以
.
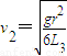
(2)根据万有引力提供向心力
解得
在月球表面的物体受到的重力等于万有引力
得:
所以
.
答:(1)卫星在“停泊轨道”上运行的周期为
.
(2)卫星在“绕月轨道”上运行的线速度为
.
点评:本题要掌握天体运动的两个关系:万有引力提供向心力
,星球表面的物体受到的重力等于万有引力
.
(2)万有引力提供向心力
解答:解:(1)根据万有引力提供向心力
解得:
在地球表面的物体受到的重力等于万有引力
得:
所以
(2)根据万有引力提供向心力
解得
在月球表面的物体受到的重力等于万有引力
得:
所以
答:(1)卫星在“停泊轨道”上运行的周期为
(2)卫星在“绕月轨道”上运行的线速度为
点评:本题要掌握天体运动的两个关系:万有引力提供向心力
练习册系列答案
相关题目