题目内容
如图所示,AB为一段光滑绝缘水平轨道,BCD为一段光滑的圆弧轨道,半径为R,今有一质量为m、带电荷量为+q的绝缘小球,以速度v从A点向B点运动,后又沿弧BC做圆周运动,到C点后由于v较小,故难运动到最高点.如果当其运动至C点时,忽然在轨道区域加一匀强电场和匀强磁场,此时轨道弹力为零,且贴着轨道做匀速圆周运动,使其能运动到最高点,,求:(1)匀强电场的方向和强度;
(2)磁场的方向和磁感应强度.
(3)小球到达轨道的末端点D后,将做什么运动?
【答案】分析:当小球运动至C点时,在轨道区域加一匀强电场和匀强磁场,此时轨道弹力为零,且贴着轨道做匀速圆周运动,则重力与电场力平衡,则洛伦兹力提供向心力.根据力平衡分析电场强度大小和方向,由左手定则判断磁场方向.根据机械能守恒定律求出小球到C点时的速度,由牛顿定律求出B.小球到达轨道的末端点D后,受力情况没有变化,仍做匀速圆周运动.
解答:解:(1)由力平衡得mg=qE,得E=
,小球带正电,则电场强度方向竖直向上.
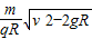
(2)A→C过程,由机械能守恒定律得
mgR+
=
vC=
又由qvCB=m
得 B=
=
由左手定则知,B的方向垂直于ABCD平面向外.
(3)小球由C到D的过程中轨道弹力为零,小球到达轨道的末端点D后,重力与电场力仍平衡,仍由洛伦兹力提供向心力,做匀速圆周运动.
答:(1)匀强电场的方向竖直向上,强度为
;
(2)磁场的方向垂直于ABCD平面向外,磁感应强度为
.
(3)小球到达轨道的末端点D后,将做匀速圆周运动.
点评:本题是重力场、电场和磁场的复合场问题,考查分析物体的运动过程,综合应用机械能守恒定律和牛顿定律的解题能力.
解答:解:(1)由力平衡得mg=qE,得E=
(2)A→C过程,由机械能守恒定律得
mgR+
又由qvCB=m
得 B=
由左手定则知,B的方向垂直于ABCD平面向外.
(3)小球由C到D的过程中轨道弹力为零,小球到达轨道的末端点D后,重力与电场力仍平衡,仍由洛伦兹力提供向心力,做匀速圆周运动.
答:(1)匀强电场的方向竖直向上,强度为
(2)磁场的方向垂直于ABCD平面向外,磁感应强度为
(3)小球到达轨道的末端点D后,将做匀速圆周运动.
点评:本题是重力场、电场和磁场的复合场问题,考查分析物体的运动过程,综合应用机械能守恒定律和牛顿定律的解题能力.
练习册系列答案
相关题目