题目内容

(8分)如图所示,在xOy平面上第一象限内有平行于y轴的有界匀强电场,方向如图。有一电子先后两次以相同的初速度垂直于y轴从P点射入电场中,当匀强电场的场强为E1时,电子从A点射出,A点的坐标为(xA,0),当匀强电场的场强为E2时,电子从B点射出,B点的坐标为(xB,0),求匀强电场的场强E1、E2大小之比;

 

 

【答案】

【解析】

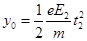
试题分析:设电子的质量为m,电荷为e,场强为E1时在电场中的运动时间为t1,场强为E2时在电场中的运动时间为t2,则

当场强为E1时: 

xA=v0t1       

当场强为E2时:  xB=v0t2      

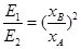
由以上几式得

考点:匀变速曲线运动规律

 

练习册系列答案
相关题目

违法和不良信息举报电话:027-86699610 举报邮箱:58377363@163.com

精英家教网