题目内容

(13分)如图所示,在倾角θ= 370的足够长的固定斜面底端有一质量m=1.0kg的物体,物体与斜面间动摩擦因数μ=0.25,现用平行斜面向上拉力F=10N将物体由静止沿斜面向上拉动,经时间t = 4.0s撤去F,(sin370 = 0.6,cos370 = 0.8,g=10m/s2

求:(1)撤去力F时物体的速度大小。

(2)物体从撤去外力之后沿斜面上滑的最大距离。

 

【答案】

(1)v=8m/s;(2)4m。

【解析】

试题分析:(1)对物体受力分析如图所示,把重力进行正交分解:

F1=mgsin37°,FN=F2=mgcos37°,

由牛顿第二定律得:F-f-F1=ma1

则f=μFN=μmgcos37°

由运动学方程:v=a1t,解之得v=8m/s。

(2)撤去外力后,受力分析如图所示,

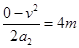
由牛顿第二定律得:-(F1+f)=ma2,则a2=-8m/s2

撤去外力之后物体做匀减速直线运动,由运动学方程:x=

考点:牛顿第二定律,匀变速直线运动规律的应用。

 

练习册系列答案
相关题目

违法和不良信息举报电话:027-86699610 举报邮箱:58377363@163.com

精英家教网