题目内容
(B)如图所示,一光滑的半径为R的半圆形轨道固定在水平面上,一质量为m的小球以某一速度从A点冲上轨道,当小球将要从轨道口B点水平飞出时,小球对轨道的压力恰好为零,已知重力加速度为g,不计空气阻力.求:(1)小球离开B点时的速度大小;
(2)小球落地点C到A点的距离;
(3)小球落地时的速度大小.
【答案】分析:(1)在B点,轨道对小球没有作用力,由重力提供向心力,由牛顿第二定律可以求出在B点的速度大小;
(2)小球离开轨道后做平抛运动,由平抛运动的知识可以求出小球落地点C到A点的距离;
(3)由速度的合成求出小球落地时的速度大小.
解答:解:(1)小球在B球时,只受重力的作用,则由牛顿第二定律得
mg=m
则得小球离开B点时的速度大小为v=
(2)小球离开轨道后做平抛运动,则有
水平方向:x=vt
竖直方向:y=2R=
解得,x=
?
=2R
(3)小球落地时竖直方向的分速度vy=gt=g
=
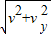
落地速度大小为vC=
=
答:
(1)小球离开B点时的速度大小是
;
(2)小球落地点C到A点的距离是2R;
(3)小球落地时的速度大小是
.
点评:小球离开轨道后做平抛运动、在半圆形轨道上小球做圆周运动,应用平抛知识、牛顿第二定律即可正确解题.
(2)小球离开轨道后做平抛运动,由平抛运动的知识可以求出小球落地点C到A点的距离;
(3)由速度的合成求出小球落地时的速度大小.
解答:解:(1)小球在B球时,只受重力的作用,则由牛顿第二定律得
mg=m
则得小球离开B点时的速度大小为v=
(2)小球离开轨道后做平抛运动,则有
水平方向:x=vt
竖直方向:y=2R=
解得,x=
(3)小球落地时竖直方向的分速度vy=gt=g
落地速度大小为vC=
答:
(1)小球离开B点时的速度大小是
(2)小球落地点C到A点的距离是2R;
(3)小球落地时的速度大小是
点评:小球离开轨道后做平抛运动、在半圆形轨道上小球做圆周运动,应用平抛知识、牛顿第二定律即可正确解题.
练习册系列答案
相关题目