题目内容
(1)速度vA的大小;
(2)小球运动到与A点对称的B点时,对环在水平方向的作用力.
【答案】分析:(1)小球受重力、支持力、电场力,小球受到的电场力提供向心力,根据牛顿第二定律列式求解;
(2)先对从A到B过程运用动能定理列式求解,得出小球经过B点时的速度,然后受力分析,根据支持力和电场力的合力提供向心力列式求解支持力.
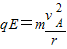
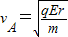
解答:解:(1)在A点,小球在水平方向只受电场力作用,根据牛顿第二定律得:
所以小球在A点的速度
.
(2)在小球从A到B的过程中,根据动能定理,电场力做的正功等于小球动能的增加量,即
,
小球在B点时,根据牛顿第二定律,在水平方向有
解以上两式,得到:NB=6qE
故根据牛顿第三定律,小球在B点对环的水平作用力为:NB′=NB=6qE.
点评:本题关键是找出向心力来源,根据牛顿第二定律列方程求解;同时可以对小球的运动过程运用动能定理列式.
(2)先对从A到B过程运用动能定理列式求解,得出小球经过B点时的速度,然后受力分析,根据支持力和电场力的合力提供向心力列式求解支持力.
解答:解:(1)在A点,小球在水平方向只受电场力作用,根据牛顿第二定律得:
所以小球在A点的速度
(2)在小球从A到B的过程中,根据动能定理,电场力做的正功等于小球动能的增加量,即
小球在B点时,根据牛顿第二定律,在水平方向有
解以上两式,得到:NB=6qE
故根据牛顿第三定律,小球在B点对环的水平作用力为:NB′=NB=6qE.
点评:本题关键是找出向心力来源,根据牛顿第二定律列方程求解;同时可以对小球的运动过程运用动能定理列式.
练习册系列答案
相关题目