题目内容
如图所示,半径为R,内径很小的光滑半圆管竖直放置,两个质量均为m的小球A、B以不同速率进入管内.(1)若A球刚好能通过最高点C,则A球在最高点C的速度多大?
(2)A通过最高点C时,对管壁上部的压力为5mg,B通过最高点C时,对管壁下部的压力为0.5mg.求A、B两球落地点间的距离.
【答案】分析:(1)小球在竖直放置的圆形管道内恰好做圆周运动的条件是,在最高点速度为零.
(2)分别对A、B进行受力分析,由牛顿第二定律列方程,分别求出A、B在最高点C的速度;
A、B两球离开C点后做平抛运动,利用运动的合成与分解求出A、B的水平位移;最后求它们落地点间的距离.
解答:
解:(1)管道即可对小球提供向下的压力,也可以提供向上的支持力,
小球的重力与管道对小球的作用力的合力可以满足小球做圆周运动所需要的向心力,小球在向最高点运动的过程中,动能转化为重力势能,速度越来越小,
只要小球到达最高点时v≥0,小球就能通过最高点做圆周运动,
因此小球A球刚好能通过最高点的条件是v=0,
A球刚好能通过最高点C,A球在最高点C的速度vA=0.
(2)A球在最高点受力如图一所示,由题意知:球A对管壁的压力FNA′=5mg,
由牛顿第三定律得:FNA=FNA′=5mg,
由牛顿第二定律得:
;
B球在最高点受力如图二所示,由题意知:球B对管壁的压力FNB′=0.5mg,
由牛顿第三定律得:FNB=FNB′=0.5mg
由牛顿第二定律得:
;
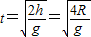
小球离开轨道最高点C后做平抛运动,h=2R=
gt2,
球做平抛运动的时间
,
A、B两球落地点间的距离
.
答:(1)A球在最高点C的速度vA=0.
(2)A、B两球落地点间的距离为(2
-
)R.
点评:本题考查了圆周运动与平抛运动,是一道中档题;知道A球刚好能通过最高点C的条件是速度为零、对小球正确受力分析是解题的关键
(2)分别对A、B进行受力分析,由牛顿第二定律列方程,分别求出A、B在最高点C的速度;
A、B两球离开C点后做平抛运动,利用运动的合成与分解求出A、B的水平位移;最后求它们落地点间的距离.
解答:
小球的重力与管道对小球的作用力的合力可以满足小球做圆周运动所需要的向心力,小球在向最高点运动的过程中,动能转化为重力势能,速度越来越小,
只要小球到达最高点时v≥0,小球就能通过最高点做圆周运动,
因此小球A球刚好能通过最高点的条件是v=0,
A球刚好能通过最高点C,A球在最高点C的速度vA=0.
(2)A球在最高点受力如图一所示,由题意知:球A对管壁的压力FNA′=5mg,
由牛顿第三定律得:FNA=FNA′=5mg,
由牛顿第二定律得:
B球在最高点受力如图二所示,由题意知:球B对管壁的压力FNB′=0.5mg,
由牛顿第三定律得:FNB=FNB′=0.5mg
由牛顿第二定律得:
小球离开轨道最高点C后做平抛运动,h=2R=
球做平抛运动的时间
A、B两球落地点间的距离
答:(1)A球在最高点C的速度vA=0.
(2)A、B两球落地点间的距离为(2
点评:本题考查了圆周运动与平抛运动,是一道中档题;知道A球刚好能通过最高点C的条件是速度为零、对小球正确受力分析是解题的关键
练习册系列答案
相关题目