ÌâÄ¿ÄÚÈÝ

һλͬѧÉè¼ÆÁËÓôòµã¼ÆÊ±Æ÷²âÁ¿Ð¡³µÑØÐ±ÃæÏ»¬µÄ¼ÓËٶȵÄʵÑ飬ʵÑé×°ÖÃʾÒâͼÈçͼ¼×Ëùʾ£®Í¼ÒÒÊÇËù´ò³öµÄÖ½´øµÄÒ»¶Î£¬ÓúÁÃ׿̶ȳßÁ¿µÃÊý¾ÝÈçÏ£ºs1=1.50cm£¬s2=2.28cm£¬s3=3.04cm£¬s4=3.82cm£¬s5=4.58cm£¬s6=5.36cm£¬s7=5.65cm£®
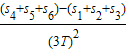
ÀûÓÃËù²âÊý¾Ý¼ÆËãС³µÑØÐ±ÃæÏ»¬µÄ¼ÓËÙ¶Èʱ£¬ÓÐÒ»Êý¾Ý²»¿É¿¿£¬ÕâÒ»Êý¾ÝÊÇ    £¨ÌîÊý¾ÝµÄ×Öĸ´úºÅ£©£»¿ÉÇó³öС³µÏ»¬µÄ¼ÓËÙ¶È    m/s2 £¨È¡ÈýλÓÐЧÊý×Ö£©£®
¡¾´ð°¸¡¿·ÖÎö£º¸ù¾ÝÔȱäËÙÖ±ÏßÔ˶¯µÄÍÆÂÛµÃÏàÁڵļÆÊýµã¼äµÄÎ»ÒÆÖ®²îÓ¦¸Ã¼¸ºõÏàµÈÅжϣ®
ÀûÓÃÖð²î·¨Çó¼ÓËÙ¶È£®
½â´ð£º½â£º¸ù¾ÝÔȱäËÙÖ±ÏßÔ˶¯µÄÍÆÂÛµÃÏàÁڵļÆÊýµã¼äµÄÎ»ÒÆÖ®²îÓ¦¸Ã¼¸ºõÏàµÈµÃ³öÓÐÒ»Êý¾Ý²»¿É¿¿£¬ÕâÒ»Êý¾ÝÊÇs7£®
ÓÉÓÚÏàÁڵļÆÊýµã¼äµÄÎ»ÒÆÖ®²î²»µÈ£¬¹Ê²ÉÓÃÖð²î·¨Çó½â¼ÓËÙ¶È£®
С³µÔ˶¯µÄ¼ÓËٶȼÆËã±í´ïʽΪa==2.14m/s2
¹Ê´ð°¸Îª£ºs7£¬2.14£®
µãÆÀ£ºÒª×¢ÒⵥλµÄ»»ËãºÍÓÐЧÊý×ֵı£Áô£®
Äܹ»ÔËÓÃÖð²î·¨Çó½â¼ÓËÙ¶È£®
Á·Ï°²áϵÁдð°¸
Ïà¹ØÌâÄ¿
£¨1£©Èçͼ1ΪʵÑéÊÒÖÐÑéÖ¤¶¯Á¿ÊغãʵÑé×°ÖÃʾÒâͼ
¢ÙÒòΪÏÂÂä¸ß¶ÈÏàͬµÄƽÅ×СÇò£¨²»¼Æ¿ÕÆø×èÁ¦£©µÄ
·ÉÐÐʱ¼ä
·ÉÐÐʱ¼ä
Ïàͬ£¬ËùÒÔÎÒÃÇÔÚ¡°ÅöײÖе͝Á¿Êغ㡱ʵÑéÖпÉÒÔÓÃ
·ÉÐÐʱ¼ä
·ÉÐÐʱ¼ä
×÷Ϊʱ¼äµ¥Î»£¬ÄÇô£¬Æ½Å×СÇòµÄ
Ë®Æ½Î»ÒÆ
Ë®Æ½Î»ÒÆ
ÔÚÊýÖµÉϵÈÓÚСÇòƽÅ׵ijõËÙ¶È
¢ÚÈëÉäСÇòÔÚб²ÛÉÏÊͷŵãµÄ¸ßµÍ¶ÔʵÑéÓ°ÏìµÄÏÂÁÐ˵·¨ÖУ¬ÕýÈ·µÄÊÇ
C
C

A¡¢ÊͷŵãÔ½µÍ£¬Ð¡ÇòÊÜ×èÁ¦Ð¡£¬ÈëÉäСÇòËÙ¶ÈС£¬Îó²îС
B¡¢ÊͷŵãÔ½µÍ£¬Á½ÇòÅöºóË®Æ½Î»ÒÆÐ¡£¬Ë®Æ½Î»ÒƲâÁ¿µÄÏà¶ÔÎó²îԽС£¬Á½ÇòËٶȵIJâÁ¿Ô½×¼È·
C¡¢ÊͷŵãÔ½¸ß£¬Á½ÇòÏàÅöʱÏ໥×÷ÓõÄÄÚÁ¦Ô½´ó£¬ÅöײǰºóϵͳµÄ¶¯Á¿Ö®²îԽС£¬Îó²îԽС
D¡¢ÊͷŵãÔ½¸ß£¬ÈëÉäСÇò¶Ô±»ÅöСÇòµÄ×÷ÓÃԽС£¬Îó²îԽС
¢ÛΪÍê³É´ËʵÑ飬ÒÔÏÂËùÌṩµÄ²âÁ¿¹¤¾ßÖбØÐèµÄÊÇ
AC
AC
£®£¨ÌîÏÂÁжÔÓ¦µÄ×Öĸ£©
A¡¢Ö±³ß     B¡¢Óα꿨³ß       C¡¢ÌìÆ½      D¡¢µ¯»É³Ó       E¡¢Ãë±í
¢ÜÉèÈëÉäСÇòµÄÖÊÁ¿Îªm1£¬±»ÅöСÇòµÄÖÊÁ¿Îªm2£¬PΪÅöǰÈëÉäСÇòÂäµãµÄƽ¾ùλÖã¬Ôò¹ØÏµÊ½£¨ÓÃm1¡¢m2¼°Í¼ÖÐ×Öĸ±íʾ£©
m1
.
OP
=m1
.
OM
+m2
.
ON
m1
.
OP
=m1
.
OM
+m2
.
ON
³ÉÁ¢£¬¼´±íʾÅöײÖж¯Á¿Êغ㣮
¢ÝÔÚʵÑé×°ÖÃÖУ¬Èôб²Û¹ìµÀÊǹ⻬µÄ£¬Ôò¿ÉÒÔÀûÓôË×°ÖÃÑé֤СÇòÔÚб²ÛÉÏÏ»¬¹ý³ÌÖлúеÄÜÊØºã£¬ÕâʱÐèÒª²âÁ¿µÄÎïÀíÁ¿ÓУºÐ¡ÇòÊͷųõλÖõ½Ð±²ÛÄ©¶ËµÄ¸ß¶È²îh1£»Ð¡Çò´Óб²ÛÄ©¶Ë×öƽÅ×Ô˶¯µÄË®Æ½Î»ÒÆs¡¢ÊúÖ±¸ß¶Èh2£¬ÔòËùÐèÑéÖ¤µÄ¹ØÏµÊ½Îª£º
s2=4h1h2
s2=4h1h2

£¨2£©Ò»Î»Í¬Ñ§Éè¼ÆÁËÓôòµã¼ÆÊ±Æ÷²âÁ¿Ä¾¿éÓ볤ľ°å¼äµÄ¶¯Ä¦²ÁÒòÊýµÄʵÑ飬ʵÑé×°ÖÃÈçͼ2Ëùʾ£º
³¤Ä¾°å´¦ÓÚˮƽ£¬×°É°µÄСͰ£¨É°Á¿¿Éµ÷Õû£©Í¨¹ýϸÏßÈÆ¹ý¶¨»¬ÂÖÓëľ¿éÏàÁ¬½Ó£¬Ï¸Ïß³¤´óÓÚ×ÀÃæµÄ¸ß¶È£¬ÓÃÊÖÍ»È»ÍÆ¶¯Ä¾¿éºó£¬Ä¾¿éÍ϶¯Ö½´ø£¨Í¼ÖÐδ»­³öÖ½´øºÍ´òµã¼ÆÊ±Æ÷£©ÑØË®Æ½Ä¾°åÔ˶¯£¬Ð¡Í°ÓëµØÃæ½Ó´¥Ö®ºó£¬Ä¾¿éÔÚľ°åÉϼÌÐøÔ˶¯Ò»¶Î¾àÀë¶øÍ£Ï£®ÔÚľ¿éÔ˶¯ÆðÀ´ºó£¬´ò¿ªµçÔ´¿ª¹Ø£¬´òµã¼ÆÊ±Æ÷ÔÚÖ½´øÉÏ´òÏÂһϵÁеĵ㣬ѡ³öÆäÖеÄÒ»ÌõÖ½´ø£¬Í¼Öиø³öÁËÖ½´øÉÏǰºóÁ½²¿¼Ç¼µÄ´òµãµÄÇé¿ö£®
Ö½´øÉÏ1¡¢2¡¢3¡¢4¡¢5¸÷¼ÆÊýµãµ½0µÄ¾àÀëÈçϱíËùʾ£º
Ö½´øÉÏ1-5¶ÁÊýµãµ½0µãµÄ¾àÀë¡¡¡¡¡¡µ¥Î»£ºcm
1 2 3 4 5
ǰһ²¿·Ö 4.8 9.6 14.4 19.2 24.0
ºóÒ»²¿·Ö 2.04 4.56 7.56 11.04 15.00
ÓÉÕâÌõÖ½´øÌṩµÄÊý¾Ý£¬¿ÉÖª
¢Ùľ¿éÓ볤ľ°å¼äµÄ¶¯Ä¦²ÁÒòÊý¦Ì=
0.3
0.3
£®
¢ÚÈôÖ½´øÉÏ´ÓµÚÒ»¸öµãµ½×îºóÒ»¸öµãµÄ¾àÀëÊÇ49.2cm£¬ÔòÖ½´øÉÏÕâÁ½¸öµãÖ®¼äÓ¦ÓÐ
ʵ¼Ê´òµãÊýΪ30¸ö
ʵ¼Ê´òµãÊýΪ30¸ö
¸öµã£®
һλͬѧÉè¼ÆÁËÓôòµã¼ÆÊ±Æ÷²âÁ¿Ä¾¿éÓ볤ľ°å¼äµÄ¶¯Ä¦²ÁÒòÊýµÄʵÑ飬ʵÑé×°ÖÃÈçͼËùʾ£®³¤Ä¾°å´¦ÓÚˮƽ£¬×°É°µÄСͰ£¨É°Á¿¿Éµ÷Õû£©Í¨¹ýϸÏßÈÆ¹ý¶¨»¬ÂÖÓëľ¿éÏàÁ¬½Ó£¬Ï¸Ïߵij¤¶È´óÓÚ×ÀÃæµÄ¸ß¶È£®ÓÃÊÖÍ»È»ÍÆ¶¯Ä¾¿éºó£¬Ä¾¿éÍ϶¯Ö½´ø£¨Í¼ÖÐδ»­³öÖ½´øºÍ´òµã¼ÆÊ±Æ÷£©ÑØË®Æ½Ä¾°åÔ˶¯£¬Ð¡Í°ÓëµØÃæ½Ó´¥Ö®ºó£¬Ä¾¿éÔÚľ°åÉϼÌÐøÔ˶¯Ò»¶Î¾àÀë¶øÍ£Ï£®ÔÚľ¿éÔ˶¯ÆðÀ´ºó£¬´ò¿ªµçÔ´¿ª¹Ø£¬´òµã¼ÆÊ±Æ÷ÔÚÖ½´øÉÏ´òÏÂһϵÁеĵ㣮¸Ä±äСͰÖеÄɰÁ¿£¬Öظ´¼¸´ÎʵÑ飬µÃµ½¼¸ÌõÖ½´ø£¬Ñ¡³öÆäÖеÄÒ»ÌõÖ½´ø£¬Í¼Öиø³öÁËÖ½´øÉÏǰºóÁ½¶ÎËù¼Ç¼µÄ´òµãÇé¿ö£®Á¿³öÁ½¶ÎÖ½´øÉÏ1¡¢2¡¢3¡¢4¡¢5¸÷¼ÆÊýµãµ½0µÄ¾àÀëÈçϱíËùʾ£¬ÓÉÕâÌõÖ½´øÌṩµÄÊý¾Ý£¬Çó£º
£¨1£©Ö½´øÉÏ1-5¶ÁÊýµãµ½0µãµÄ¾àÀë
£¨2£©Ä¾¿éÓ볤ľ°å¼äµÄ¶¯Ä¦²ÁÒòÊý£®
£¨3£©ÈôÖ½´øÉÏ´ÓµÚÒ»¸öµãµ½×îºóÒ»¸öµãµÄ¾àÀëÊÇ49.2cm£¬ÇóÖ½´øÉÏÕâÁ½¸öµãÖ®¼äÓ¦ÓжàÉÙ¸öµã£¿
µ¥Î»£ºcm
1 2 3 4 5
ǰһ¶Î 4.8 9.6 14.4 19.2 24.0
ºóÒ»¶Î 3.96 7.44 10.44 12.96 15.00
¾«Ó¢¼Ò½ÌÍø

Î¥·¨ºÍ²»Á¼ÐÅÏ¢¾Ù±¨µç»°£º027-86699610 ¾Ù±¨ÓÊÏ䣺58377363@163.com

¾«Ó¢¼Ò½ÌÍø