ÌâÄ¿ÄÚÈÝ

Èçͼ£¬ÔÚx£¾0µÄ¿Õ¼äÖУ¬´æÔÚÑØxÖá·½ÏòµÄÔÈÇ¿µç³¡£¬µç³¡Ç¿¶ÈE£½10 N/C£»ÔÚx£¼0µÄ¿Õ¼äÖдæÔÚ´¹Ö±xyÆ½Ãæ·½ÏòµÄÔÈÇ¿´Å³¡£¬´Å¸ÐӦǿ¶ÈB£½0.5 T£®Ò»´ø¸ºµçµÄÁ£×Ó(±ÈºÉq/m£½160 C/kg)£¬ÔÚx£½0.06 m´¦µÄDµãÒÔv£½8 m/sµÄ³õËÙ¶ÈÑØyÖáÕý·½Ïò¿ªÊ¼Ô˶¯£¬²»¼Æ´øµçÁ£×ÓµÄÖØÁ¦£®Çó

(1)´øµçÁ£×Ó¿ªÊ¼Ô˶¯ºóµÚÒ»´Îͨ¹ýyÖáʱ¾àOµãµÄ¾àÀë

(2)´øµçÁ£×Ó½øÈë´Å³¡ºó¾­¶à³¤Ê±·µ»Øµç³¡(±£ÁôÁ½Î»ÓÐЧÊý×Ö)

´ð°¸£º
½âÎö£º

¡¡¡¡½â£º(1)Á£×ÓÔÚµÚÒ»ÏóÏÞ×öÀàÆ½Å×Ô˶¯£¬(1·Ö)

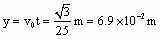
¡¡¡¡Ô˶¯Ê±¼ä(2·Ö)

¡¡¡¡ÑØy·½ÏòµÄÎ»ÒÆ(2·Ö)

¡¡¡¡(2)Á£×Óͨ¹ýyÖá½øÈë´Å³¡Ê±ÔÚx·½ÏòÉϵÄËÙ¶È(2·Ö)

¡¡¡¡Òò´Ë(2·Ö)

¡¡¡¡Á£×ÓÔÚµÚ¶þÏóÏÞÒÔΪԲÐÄ×öÔÈËÙÔ²ÖÜÔ˶¯£¬Ô²»¡¶ÔÔ²ÐĽÇΪ2£½120¡ã(2·Ö)

¡¡¡¡1·Ö

¡¡¡¡2·Ö


Á·Ï°²áϵÁдð°¸
Ïà¹ØÌâÄ¿

Î¥·¨ºÍ²»Á¼ÐÅÏ¢¾Ù±¨µç»°£º027-86699610 ¾Ù±¨ÓÊÏ䣺58377363@163.com

¾«Ó¢¼Ò½ÌÍø