题目内容

如图所示,在同一竖直平面内有A、B两物体,A物体从a点起,以角速度ω沿顺时针方向做半径为只的匀速圆周运动,同时月物体从圆心O点自由下落,若要A、B两物体在d点相遇,求角速度ω须满足的条件.

答案:略
解析:

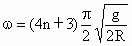
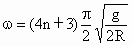
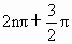
ω应满足的是(n=0123,……)

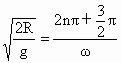
解:B物体从圆心Od点的运动是自由落体运动,因此B物体从Od所用的时间t应为:,∴

由于A物体所做的是匀速圆周运动,A物体a运动到d转过的角度为:(n=0123,……).因此其所用时间为:

联立上述方程可得:

解得:(n=0123,……)

匀速圆周运动具有周期性,因此在解决有关的圆周运动的问题中必须考虑题目多解的可能性,并尽可能运用数学知识写出解的通项表达式.

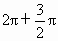
A物体从a点运动到b点通过的角度可能为:……所以它通过的角度为:(n=0123,……)本题的创新之处在于物理学中数例通项公式的运用,即物理解题方法上的创意.


练习册系列答案
相关题目

违法和不良信息举报电话:027-86699610 举报邮箱:58377363@163.com

精英家教网