题目内容

把太阳系各行星的运动近似看做匀速圆周运动,则离太阳越远的行星

[  ]

A.周期越小
B.线速度越小
C.角速度越小
D.加速度越小

答案:BCD
解析:

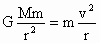
本题考查太阳对行星的万有引力决定了行星的运动.行星绕太阳做匀速圆周运动所需的向心力由太阳对行星的万有引力提供.即解得线速度

r越大,线速度v越小,B正确.

得:

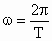
角速度r越大,w 越小,故C正确.

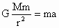
又由知,A错误.

得:

r越大,a越小,故D正确.

本题注重了对万有引力提供向心力的定量分析.若采用定性分析也可解答.由于万有引力,当r↑→则Faw Tv↓.


练习册系列答案
相关题目

违法和不良信息举报电话:027-86699610 举报邮箱:58377363@163.com

精英家教网