题目内容
近地卫星线速度为7.9km/s,已知月球质量是地球质量的
【答案】分析:根据万有引力给卫星提供向心力做匀速圆周运动的表达式,可以解出地球第一宇宙速度的表达式,然后与月球第一宇宙速度对比.
解答:解:设地球质量M,半径R,月球质量
,半径
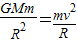
由万有引力提供向心力:
解得:
=7.9km/s
则近月卫星的环绕速度
解得:v月=1.8km/s
故答案为:1.8km/s
点评:根据地球的第一宇宙速度的理解,去界定月球第一宇宙速度的概念并加以理解.
解答:解:设地球质量M,半径R,月球质量
由万有引力提供向心力:
解得:
则近月卫星的环绕速度
解得:v月=1.8km/s
故答案为:1.8km/s
点评:根据地球的第一宇宙速度的理解,去界定月球第一宇宙速度的概念并加以理解.
练习册系列答案
相关题目