题目内容
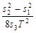
某同学利用验证机械能守恒定律的实验装置来测定当地的重力加速度,该同学在通过实验得到的纸带上选取6个点,每相邻两个点之间的时间间隔均为T,其中1、2、3点相邻,4、5、6点也相邻.3、4点之间还有几个不清楚的点.若测得1、3距离为
,4、6之间的距离为
,2、5之间的距离为
.则第2点速度的表达式
= ,重力加速度的表达式是g= 。![]()
,(3分) ![]()
解析
练习册系列答案
相关题目
题目内容
某同学利用验证机械能守恒定律的实验装置来测定当地的重力加速度,该同学在通过实验得到的纸带上选取6个点,每相邻两个点之间的时间间隔均为T,其中1、2、3点相邻,4、5、6点也相邻.3、4点之间还有几个不清楚的点.若测得1、3距离为
,4、6之间的距离为
,2、5之间的距离为
.则第2点速度的表达式
= ,重力加速度的表达式是g= 。![]()
,(3分) ![]()
解析