题目内容

如图所示,坐标系xOy在竖直平面内,空间有沿水平方向垂直于纸面向外的匀强磁场,磁感应强度大小为B,在x>0的空间里有沿x轴正方向的匀强电场,场强的大小为E,一个带正电的小球经过图中的x轴上的A点,沿着与水平方向成=30°角的斜向下直线做匀速运动,经过y轴上的B点进人x<0的区域,要使小球进入x<0区域后能在竖直面内做匀速圆周运动,需在x<0区域另加一匀强电场,若带电小球做圆周运动通过x轴上的C点,且,设重力加速度为g,求:

(1)小球运动速率的大小;

(2)在x<0的区域所加电场大小和方向;

(3)小球从B点运动到C点所用时间及的长度.

答案:
解析:

  (1)小球从A运动到B的过程中,小球受重力、电场力和洛伦兹力作用而处于平衡状态,由题设条件知,所以小球的运动速率为v=

  (2)小球在x<0的区域做匀速圆周运动,则小球的重力与所受的电场力平衡,洛伦兹力提供做圆周运动的向心力.则,又tan30°=

  所以,方向竖直向上.

  (3)如图所示,连接BC,过B作AB的垂线交x轴于.因为=30°,所以在△AB中∠AB=60°,又,故∠OCB==30°,所以∠CB=30°,,则为小球做圆周运动的圆心.

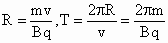
  设小球做圆周运动的半径为R,周期为T,则=R,

  且

  由于∠CB=120°,小球从点B运动到点C的时间为

  又∠BO=30°,所以

  所以,即

  又,所以


练习册系列答案
相关题目

违法和不良信息举报电话:027-86699610 举报邮箱:58377363@163.com

精英家教网