ÌâÄ¿ÄÚÈÝ
Èçͼ£¨a£©Ëùʾ£¬¹â»¬µÄƽÐг¤Ö±½ðÊôµ¼¹ìÖÃÓÚË®Æ½ÃæÄÚ£¬¼ä¾àΪL¡¢µ¼¹ì×ó¶Ë½ÓÓÐ×èֵΪRµÄµç×裬ÖÊÁ¿ÎªmµÄµ¼Ìå°ô´¹Ö±¿ç½ÓÔÚµ¼¹ìÉÏ£®µ¼¹ìºÍµ¼Ìå°ôµÄµç×è¾ù²»¼Æ£¬ÇÒ½Ó´¥Á¼ºÃ£®ÔÚµ¼¹ìÆ½ÃæÉÏÓÐÒ»¾ØÐÎÇøÓòÄÚ´æÔÚ×ÅÊúÖ±ÏòϵÄÔÈÇ¿´Å³¡£¬´Å¸ÐӦǿ¶È´óСΪB£®¿ªÊ¼Ê±£¬µ¼Ìå°ô¾²Ö¹Óڴų¡ÇøÓòµÄÓÒ¶Ë£¬µ±´Å³¡ÒÔËÙ¶Èv1ÔÈËÙÏòÓÒÒÆ¶¯Ê±£¬µ¼Ìå°ôËæÖ®¿ªÊ¼Ô˶¯£¬Í¬Ê±Êܵ½Ë®Æ½Ïò×ó¡¢´óСΪfµÄºã¶¨×èÁ¦£¬²¢ºÜ¿ì´ïµ½ºã¶¨ËÙ¶È£¬´Ëʱµ¼Ìå°ôÈÔ´¦Óڴų¡ÇøÓòÄÚ£®£¨1£©Çóµ¼Ìå°ôËù´ïµ½µÄºã¶¨ËÙ¶Èv2£»
£¨2£©ÎªÊ¹µ¼Ìå°ôÄÜËæ´Å³¡Ô˶¯£¬×èÁ¦×î´ó²»Äܳ¬¹ý¶àÉÙ£¿
£¨3£©µ¼Ìå°ôÒԺ㶨ËÙ¶ÈÔ˶¯Ê±£¬µ¥Î»Ê±¼äÄÚ¿Ë·þ×èÁ¦Ëù×öµÄ¹¦ºÍµç·ÖÐÏûºÄµÄµç¹¦Âʸ÷Ϊ¶à´ó£¿
£¨4£©Èôt=0ʱ´Å³¡Óɾ²Ö¹¿ªÊ¼Ë®Æ½ÏòÓÒ×öÔȼÓËÙÖ±ÏßÔ˶¯£¬¾¹ý½Ï¶Ìʱ¼äºó£¬µ¼Ìå°ôÒ²×öÔȼÓËÙÖ±ÏßÔ˶¯£¬Æäv-t¹ØÏµÈçͼ£¨b£©Ëùʾ£¬ÒÑÖªÔÚʱ¿Ìtµ¼Ìå°ô˲ʱËÙ¶È´óСΪvt£¬Çóµ¼Ìå°ô×öÔȼÓËÙÖ±ÏßÔ˶¯Ê±µÄ¼ÓËÙ¶È´óС£®
¡¾´ð°¸¡¿·ÖÎö£ºµ¼Ìå°ôÊÜÁ¦Æ½ºâ£¬¿ÉÇóËù´ïµ½µÄºã¶¨ËÙ¶Èv2£¬ÎªÊ¹µ¼Ìå°ôÄÜËæ´Å³¡Ô˶¯£¬×èÁ¦×î´ó²»Äܳ¬¹ýËùÊܵÄ×î´ó°²ÅàÁ¦£¬¼´µ¼Ìå°ô²»¶¯Ê±£¬°²ÅàÁ¦×î´ó£¬ÓÉÊÜÁ¦Æ½ºâ¿ÉÇ󣻸ù¾ÝÄÜÁ¿Êغ㡢¹¦ÂʹØÏµÇó½â£»¶Ôµ¼Ìå°ôÊÜÁ¦·ÖÎöÓÉÅ£¶ÙµÚ¶þ¶¨ÂÉ£¬ÇÒ¼ÓËÙ¶ÈΪбÂÊ£®
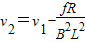
½â´ð£º½â£º£¨1£©Óеç´Å¸ÐÓ¦¶¨ÂÉ£¬µÃ
E=BL£¨v1-v2£©
±ÕºÏµç·ŷķ¶¨ÂÉ
I=
µ¼Ìå°ôËùÊܰ²ÅàÁ¦

ËٶȺ㶨ʱÓÐ
¿ÉµÃ
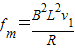
£¨2£©ÎªÊ¹µ¼Ìå°ôÄÜËæ´Å³¡Ô˶¯£¬×èÁ¦×î´ó²»Äܳ¬¹ýËùÊܵÄ×î´ó°²ÅàÁ¦£¬¼´µ¼Ìå°ô²»¶¯Ê±£¬°²ÅàÁ¦×î´óΪ

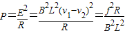
£¨3£©¸ù¾ÝÄÜÁ¿Êغ㣬µ¥Î»Ê±¼äÄÚ¿Ë·þ×èÁ¦Ëù×öµÄ¹¦£¬¼´Ä¦²ÁÁ¦µÄ¹¦ÂÊ

µç·ÖÐÏûºÄµÄµç¹¦
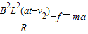
£¨4£©Òò
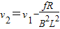
µ¼Ìå°ôÒª×öÔȼÓËÙÔ˶¯£¬±ØÓÐv1-v2Ϊ³£Êý£¬ÉèΪ¡÷v£¬Ôò£º

Ôò
¿É½âµÃ

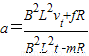
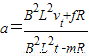
´ð£º£¨1£©Çóµ¼Ìå°ôËù´ïµ½µÄºã¶¨ËÙ¶È
£»
£¨2£©ÎªÊ¹µ¼Ìå°ôÄÜËæ´Å³¡Ô˶¯£¬×èÁ¦×î´ó²»Äܳ¬¹ý
£¨3£©µ¼Ìå°ôÒԺ㶨ËÙ¶ÈÔ˶¯Ê±£¬µ¥Î»Ê±¼äÄÚ¿Ë·þ×èÁ¦Ëù×öµÄ¹¦ºÍµç·ÖÐÏûºÄµÄµç¹¦Âʸ÷Ϊ
£¬
£¨4£©µ¼Ìå°ô×öÔȼÓËÙÖ±ÏßÔ˶¯Ê±µÄ¼ÓËÙ¶È´óСΪ
£®
µãÆÀ£º¿¼²éÁ˵ç´Å¸ÐÓ¦¶¨ÂÉ£¬±ÕºÏµç·¡¢Å£¶ÙÔ˶¯¶¨ÂÉ¡¢Ïà¶ÔÔ˶¯£¬×¢ÒâÏà¶ÔÔ˶¯Ê±£¬ÈçºÎÇó³ö¹¦Âʼ°ÄÜÁ¿£®
½â´ð£º½â£º£¨1£©Óеç´Å¸ÐÓ¦¶¨ÂÉ£¬µÃ
E=BL£¨v1-v2£©
±ÕºÏµç·ŷķ¶¨ÂÉ
I=
µ¼Ìå°ôËùÊܰ²ÅàÁ¦
ËٶȺ㶨ʱÓÐ
¿ÉµÃ
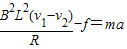
£¨2£©ÎªÊ¹µ¼Ìå°ôÄÜËæ´Å³¡Ô˶¯£¬×èÁ¦×î´ó²»Äܳ¬¹ýËùÊܵÄ×î´ó°²ÅàÁ¦£¬¼´µ¼Ìå°ô²»¶¯Ê±£¬°²ÅàÁ¦×î´óΪ
£¨3£©¸ù¾ÝÄÜÁ¿Êغ㣬µ¥Î»Ê±¼äÄÚ¿Ë·þ×èÁ¦Ëù×öµÄ¹¦£¬¼´Ä¦²ÁÁ¦µÄ¹¦ÂÊ
µç·ÖÐÏûºÄµÄµç¹¦
£¨4£©Òò
Ôò
¿É½âµÃ
´ð£º£¨1£©Çóµ¼Ìå°ôËù´ïµ½µÄºã¶¨ËÙ¶È
£¨2£©ÎªÊ¹µ¼Ìå°ôÄÜËæ´Å³¡Ô˶¯£¬×èÁ¦×î´ó²»Äܳ¬¹ý
£¨3£©µ¼Ìå°ôÒԺ㶨ËÙ¶ÈÔ˶¯Ê±£¬µ¥Î»Ê±¼äÄÚ¿Ë·þ×èÁ¦Ëù×öµÄ¹¦ºÍµç·ÖÐÏûºÄµÄµç¹¦Âʸ÷Ϊ
£¨4£©µ¼Ìå°ô×öÔȼÓËÙÖ±ÏßÔ˶¯Ê±µÄ¼ÓËÙ¶È´óСΪ
µãÆÀ£º¿¼²éÁ˵ç´Å¸ÐÓ¦¶¨ÂÉ£¬±ÕºÏµç·¡¢Å£¶ÙÔ˶¯¶¨ÂÉ¡¢Ïà¶ÔÔ˶¯£¬×¢ÒâÏà¶ÔÔ˶¯Ê±£¬ÈçºÎÇó³ö¹¦Âʼ°ÄÜÁ¿£®
Á·Ï°²áϵÁдð°¸
Ïà¹ØÌâÄ¿