题目内容

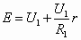
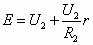
如图所示,R为电阻箱,V为理想电压表.当电阻箱读数为R1=2 Ω时,电压表读数为U1=4 V;当电阻箱读数为R2=5 Ω时,电压表读数为U2=5 V.求:

(1)电源的电动势E和内阻r

(2)当电阻箱R读数为多少时,电源的输出功率最大?最大值Pm为多少?

答案:
解析:

  解:(1)由闭合电路欧姆定律:,(1分)

  ,(1分)

  联立上式并代入数据解得:.(2分)

  (2)由电功率表达式:,将上式变形为:,(2分)

  由上式可知时,有最大值:(1分)


练习册系列答案
相关题目

违法和不良信息举报电话:027-86699610 举报邮箱:58377363@163.com

精英家教网