题目内容

一卫星绕某行星做匀速圆周运动.已知行星表面的重力加速度为,行星的质量M与卫星的质量m之比M∶m=81∶1,行星的半径与卫星的半径之比,行星与卫星之间的距离r与行星的半径之比,设卫星表面的重力加速度为,则在卫星表面有

经过计算得出:卫星表面的重力加速度为行星表面的重力加速度的三千六百分之一,上述结果是否正确?若正确,列式证明;若错误,求出正确结果.

答案:略
解析:

所得结果是错误的,式中的并不是卫星表面的重力加速度,而是卫星绕行星做匀速圆周运动的向心加速度,正确解法是:

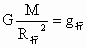
卫星表面 

行星表面 

两式相比得:


练习册系列答案
相关题目

违法和不良信息举报电话:027-86699610 举报邮箱:58377363@163.com

精英家教网