ÌâÄ¿ÄÚÈÝ

ijͬѧÀûÓÃÈçͼ1ËùʾµÄʵÑé×°ÖÃÑéÖ¤»úеÄÜÊØºã¶¨ÂÉ.

£¨1£©ÇëÖ¸³ö¸ÃͬѧÔÚʵÑé²Ù×÷ÖдæÔÚµÄÁ½´¦Ã÷ÏÔ´íÎó»ò²»µ±£º

¢Ù                               £»¢Ú                             £»

£¨2£©¸Ãͬѧ¾­ÕýÈ·²Ù×÷µÃµ½ÈçÏÂͼ2ËùʾµÄÖ½´ø£¬È¡Á¬ÐøµÄÁù¸ö´òµÄµãA¡¢B¡¢C¡¢D¡¢E¡¢FΪ¼ÆÊýµã£¬²âµÃµãAµ½B¡¢C¡¢D¡¢E¡¢FµÄ¾àÀë·Ö±ðΪh1¡¢h2¡¢h3¡¢h4¡¢h5£®Èô´òµãµÄƵÂÊΪf£¬Ôò´òEµãÊ±ÖØÎïËٶȵıí´ïʽΪ£º                          .

£¨3£©ÈôÀûÓôË×°ÖòâÁ¿µ±µØµÄÖØÁ¦¼ÓËÙ¶È£¬Ôò=                                ¡£

 

¡¾´ð°¸¡¿

£¨1£©¢Ù ´òµã¼ÆÊ±Æ÷Ó¦½Ó½»Á÷µçÔ´£»¢ÚÖØÎïÊÍ·ÅʱӦ½ô¿¿´òµã¼ÆÊ±Æ÷ £»£¨2£©,

£¨3£©£¨ÉáÈ¥AB¶Î£©£»»ò  £¨ÉáCD¶Î£©£»

»ò  £¨ÉáÈ¥EF¶Î£©

¡¾½âÎö¡¿

ÊÔÌâ·ÖÎö£º(1) ¢ÙͼÖдòµã¼ÆÊ±Æ÷½ÓÖ±Á÷µçÔ´£¬´òµã¼ÆÊ±Æ÷Ó¦½Ó½»Á÷µçÔ´£®¢ÚÖØÎïÊÍ·ÅʱÀë´òµã¼ÆÊ±Æ÷̫Զ£®²»ÀûÓÚÊý¾ÝµÄ²É¼¯ºÍ²âÁ¿£®

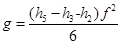
£¨2£©EµãΪDµãºÍFµãµÄÖмäʱ¿Ì£¬ÀûÓÃÔȱäËÙÖ±ÏßÔ˶¯µÄƽ¾ùËٶȵÈÓÚÖмäʱ¿ÌµÄ˲ʱËÙ¶È£º£¬¶ø£¬Ôò¡£

£¨3£©Îå×éÊý¾Ý¿ÉÓÃÖð²î·¨Çó½âÖØÁ¦¼ÓËÙ¶È£¬ÉáÈ¥ÆäÖеÄÒ»×éÊý¾Ý£¨AB¶Î»òCD¶Î»òEF¶Î£©£¬ÓÃËÄ×éÊý¾Ý±íʾ£ºÈçÉáÈ¥µÚ5×éEF¶Î£¬£¬£¬£»¿ÉµÃ¡£

¿¼µã£º±¾Ì⿼²éÁËÑéÖ¤»úеÄÜÊØºã¶¨ÂÉʵÑé¡¢Öð²î·¨Çó¼ÓËÙ¶È¡£

 

Á·Ï°²áϵÁдð°¸
Ïà¹ØÌâÄ¿
£¨2009?ÉϺ£Ä£Ä⣩ijͬѧÀûÓÃÈçͼ1ËùʾµÄ×°ÖòâÁ¿µ±µØµÄÖØÁ¦¼ÓËÙ¶È£®ÊµÑé²½ÖèÈçÏ£º
A£®°´×°ÖÃͼ°²×°ºÃʵÑé×°Öã»
B£®ÓÃÈý½Ç³ß²âÁ¿Ð¡ÇòµÄÖ±¾¶ d£»
C£®ÓÃÃ׳߲âÁ¿ÐüÏߵij¤¶È l£»
D£®ÈÃСÇòÔÚÊúÖ±Æ½ÃæÄÚС½Ç¶È°Ú¶¯£®µ±Ð¡Çò¾­¹ý×îµÍµãʱ¿ªÊ¼¼ÆÊ±£¬²¢¼ÆÊýΪ0£¬´ËºóСÇòÿ¾­¹ý×îµÍµãÒ»´Î£¬ÒÀ´Î¼ÆÊý1¡¢2¡¢3¡­£®µ±Êýµ½20ʱ£¬Í£Ö¹¼ÆÊ±£¬²âµÃʱ¼äΪ t£»
E£®¶à´Î¸Ä±äÐüÏß³¤¶È£¬¶ÔӦÿ¸öÐüÏß³¤¶È£¬¶¼Öظ´ÊµÑé²½ÖèC¡¢D£»
F£®¼ÆËã³öÿ¸öÐüÏß³¤¶È¶ÔÓ¦µÄ t2£»
G£®ÒÔ t2 Îª×Ý×ø±ê¡¢l Îªºá×ø±ê£¬×÷³ö t2-l Í¼Ïó£®
£¨1£©¸Ãͬѧ¸ù¾ÝʵÑéÊý¾Ý£¬ÀûÓüÆËã»ú×÷³ö t2-lͼÏóÈçͼ2Ëùʾ£®¸ù¾ÝͼÏóÄâºÏµÃµ½·½³ÌΪ£ºt2=404.0l+3.5£¨s2£©£®ÓÉ´Ë¿ÉÒԵóöµ±µØµÄÖØÁ¦¼ÓËÙ¶Èg=
9.76
9.76
m/s2£®£¨È¡¦Ð2=9.86£¬½á¹û±£Áô3λÓÐЧÊý×Ö£©
£¨2£©Í¼ÏóûÓйý×ø±êÔ­µãµÄÔ­Òò¿ÉÄÜÊÇ
D
D

£¨A£© ²»Ó¦ÔÚСÇò¾­¹ý×îµÍµãʱ¿ªÊ¼¼ÆÊ±£¬Ó¦¸ÃÔÚСÇòÔ˶¯µ½×î¸ßµã¿ªÊ¼¼ÆÊ±
£¨B£© ¿ªÊ¼¼ÆÊ±ºó£¬²»Ó¦¼Ç¼СÇò¾­¹ý×îµÍµãµÄ´ÎÊý£¬¶øÓ¦¼Ç¼СÇòÈ«Õñ¶¯µÄ´ÎÊý
£¨C£© ²»Ó¦×÷ t2-l Í¼Ï󣬶øÓ¦×÷ t-l Í¼Ïó
£¨D£© ²»Ó¦×÷ t2-l Í¼Ï󣬶øÓ¦×÷ t2-£¨l+
12
d£©Í¼Ïó£®
ijͬѧÀûÓÃÈçͼ1ËùʾµÄ×°ÖòâÁ¿µ±µØµÄÖØÁ¦¼ÓËÙ¶È£®ÊµÑé²½ÖèÈçÏ£º

A£®°´×°ÖÃͼ°²×°ºÃʵÑé×°Öã»
B£®ÓÃÓα꿨³ß²âÁ¿Ð¡ÇòµÄÖ±¾¶d£»
C£®ÓÃÃ׳߲âÁ¿ÐüÏߵij¤¶Èl£»
D£®ÈÃСÇòÔÚÊúÖ±Æ½ÃæÄÚС½Ç¶È°Ú¶¯£®µ±Ð¡Çò¾­¹ý×îµÍµãʱ¿ªÊ¼¼ÆÊ±£¬²¢¼ÆÊýΪ0£¬´ËºóСÇòÿ¾­¹ý×îµÍµãÒ»´Î£¬ÒÀ´Î¼ÆÊý1¡¢2¡¢3¡­£®µ±Êýµ½20ʱ£¬Í£Ö¹¼ÆÊ±£¬²âµÃʱ¼äΪt£»
E£®¶à´Î¸Ä±äÐüÏß³¤¶È£¬¶ÔӦÿ¸öÐüÏß³¤¶È£¬¶¼Öظ´ÊµÑé²½ÖèC¡¢D£»
F£®¼ÆËã³öÿ¸öÐüÏß³¤¶È¶ÔÓ¦µÄt 2£»
G£®ÒÔt 2 Îª×Ý×ø±ê¡¢lΪºá×ø±ê£¬×÷³öt 2-lͼÏߣ®
½áºÏÉÏÊöʵÑ飬Íê³ÉÏÂÁÐÈÎÎñ£º
¢ÙÓÃÓαêΪ10·Ö¶È£¨²âÁ¿Öµ¿É׼ȷµ½0.1mm£©µÄ¿¨³ß²âÁ¿Ð¡ÇòµÄÖ±¾¶£®Ä³´Î²âÁ¿µÄʾÊýÈçͼ2Ëùʾ£¬¶Á³öСÇòÖ±¾¶dµÄֵΪ
1.52
1.52
cm£®
¢Ú¸Ãͬѧ¸ù¾ÝʵÑéÊý¾Ý£¬ÀûÓüÆËã»ú×÷³öt 2-lͼÏßÈçͼ3Ëùʾ£®¸ù¾ÝͼÏßÄâºÏµÃµ½·½³Ìt 2=404.0l+3.5£®ÓÉ´Ë¿ÉÒԵóöµ±µØµÄÖØÁ¦¼ÓËÙ¶Èg=
9.76
9.76
m/s2£®£¨È¡¦Ð 2=9.86£¬½á¹û±£Áô3λÓÐЧÊý×Ö£©
¢Û´ÓÀíÂÛÉÏ·ÖÎöͼÏßûÓйý×ø±êÔ­µãµÄÔ­Òò£¬ÏÂÁзÖÎöÕýÈ·µÄÊÇ

A£®²»Ó¦ÔÚСÇò¾­¹ý×îµÍµãʱ¿ªÊ¼¼ÆÊ±£¬Ó¦¸ÃÔÚСÇòÔ˶¯µ½×î¸ßµã¿ªÊ¼¼ÆÊ±£»
B£®¿ªÊ¼¼ÆÊ±ºó£¬²»Ó¦¼Ç¼СÇò¾­¹ý×îµÍµãµÄ´ÎÊý£¬¶øÓ¦¼Ç¼СÇò×öÈ«Õñ¶¯µÄ´ÎÊý£»
C£®²»Ó¦×÷t 2-lͼÏߣ¬¶øÓ¦×÷t-lͼÏߣ»
D£®²»Ó¦×÷t 2-lͼÏߣ¬¶øÓ¦×÷t 2-£¨l+
12
d£©Í¼Ïߣ®
£¨1£©Ä³Í¬Ñ§ÀûÓÃÈçͼ1ËùʾµÄʵÑé×°ÖÃÀ´¡°ÑéÖ¤¹³ÂëºÍ»¬¿éËù×é³ÉµÄϵͳ»úеÄÜÊØºã¡±£®
¢ÙÇëÍêÉÆÒÔÏÂʵÑé²½Ö裺
a£®ÓÃÓα꿨³ß²âÕÚ¹âÌõµÄ¿í¶È£¬¶à´Î²âÁ¿È¡Æ½¾ùÖµL£»
b£®ÊµÑéʱ£¬ÏȽÓÍ¨ÆøÔ´£¬ÔÙµ÷½ÚÆøµæµ¼¹ì£¬Ê¹µ¼¹ì´¦ÓÚˮƽλÖã»
c£®½«»¬¿é´ÓͼʾλÖÃÓɾ²Ö¹ÊÍ·Å£¬¶Á³öÕÚ¹âÌõͨ¹ý¹âµçÃŵÄʱ¼ä¡÷t£»
d£®¼ÆËã³ö»¬¿éͨ¹ý¹âµçÃŵÄËÙ¶Èv=
 
£¨ÓÃÉÏÊö²âÁ¿³öµÄÎïÀíÁ¿±íʾ£©£®
¢ÚʵÑéÖл¹ÐèÒª²âÁ¿µÄÎïÀíÁ¿ÓУº¹³ÂëµÄÖÊÁ¿m¡¢
 
ºÍ
 
£¨ÓÃÎÄ×Ö˵Ã÷ºÍÏàÓ¦×Öĸ±íʾ£©£®
¢Û±¾ÊµÑéͨ¹ý±È½Ï
 
ºÍ
 
£¬ÔÚʵÑéÎó²îÔÊÐíµÄ·¶Î§ÄÚÏàµÈ£¨ÓòâÁ¿µÄÎïÀíÁ¿·ûºÅ±íʾ£©£¬´Ó¶øÑéÖ¤ÁËϵͳµÄ»úеÄÜÊØºã£®
¾«Ó¢¼Ò½ÌÍø
£¨2£©Ä³Í¬Ñ§Ïë²âÁ¿Ä³µ¼µçÈÜÒºµÄµç×èÂÊ£¬ÏÈÔÚÒ»¸ù¾ùÔȵij¤²£Á§¹ÜÁ½¶Ë¸÷×°ÁËÒ»¸öµç¼«£¨½Ó´¥µç×è²»¼Æ£©£¬Á½µç¼«Ïà¾àL=0.700m£¬Æä¼ä³äÂú´ý²âµÄµ¼µçÈÜÒº£®ÓÃÈçÏÂÆ÷²Ä½øÐвâÁ¿£º
µçѹ±í£¨Á¿³Ìl5V£¬ÄÚ×èÔ¼30k¦¸£©£»     µçÁ÷±í£¨Á¿³Ì300¦ÌA£¬ÄÚÔ¼50¦¸£©£»
»¬¶¯±ä×èÆ÷£¨10¦¸£¬1A£©£»              µç³Ø×飨µç¶¯ÊÆE=12V£¬ÄÚ×èr=6¦¸£©£»
µ¥µ¶µ¥ÖÀ¿ª¹ØÒ»¸ö¡¢µ¼ÏßÈô¸É£®
ϱíÊDzâÁ¿Í¨¹ý¹ÜÖе¼µçÒºÖùµÄµçÁ÷¼°Á½¶ËµçѹµÄʵÑéÊý¾Ý£®ÊµÑéÖÐÓÃ20·Ö¶ÈµÄÓα꿨³ß²âÁ¿Á˲£Á§¹ÜµÄÄÚ¾¶£¬½á¹ûÈçͼ3Ëùʾ£®
U/V 0 1.0 3.0 5.0 7.0 9.0 11.0
I/¦ÌA 0 22 65 109 155 175 240
¸ù¾ÝÒÔÉÏËùÊöÇë»Ø´ðÏÂÃæµÄÎÊÌ⣺
¢Ù²£Á§¹ÜÄÚ¾¶d=
 
mm£®
¢ÚÇëÔÚͼ2Öв¹»­³öδÁ¬½ÓµÄµ¼Ïߣ®
¢Û¸ù¾Ý±íÊý¾ÝÔÚͼ4×ø±êÖÐÒÑÃèµã£¬Çë×÷³öU-IͼÏó£¬ÓÉͼÏóÇó³öµç×èR=
 
¦¸£¨½á¹û±£Áô2λÓÐЧÊý×Ö£©£®
¢Ü¼ÆËã¸Ãµ¼µçÈÜÒºµÄµç×èÂʱí´ïʽÊÇ£º¦Ñ=
 
 £¨ÓÃR¡¢d¡¢L±íʾ£©£®

Î¥·¨ºÍ²»Á¼ÐÅÏ¢¾Ù±¨µç»°£º027-86699610 ¾Ù±¨ÓÊÏ䣺58377363@163.com

¾«Ó¢¼Ò½ÌÍø