题目内容
(8分)如图所示,ABCD为一个正方形,匀强电场与这个正方形所在平面平行,把一个电量为
的负电荷从A点移到B点,电场力做功
;把一个电量为
的正电荷从B点移到C点,克服电场力做功
,设A点电势为零,求:
![]()
(1)B、C两点的电势;
(2)把电量为q2的正电荷从C点移到D点电场力做的功。
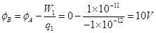
【答案】
(1)10V 12V(2)![]()
【解析】
试题分析:(1)
![]()
![]()
(2)
![]()
![]()
考点:电场力做功与电势差的关系
练习册系列答案
相关题目
| A、从AB面中点射入的光线一定从圆弧的中点射出 | B、从AB面射入的所有光线经一次反射和折射后都从BCD面射出 | C、从AB面中间附近射入的所有光线经一次反射和折射后都从BCD面射出 | D、若光线只从AD面垂直射入,则一定没有光线从BCD面射出 |