题目内容
真空中有两个静止的点电荷,它们之间静电力的大小为F如果保持这两个点电荷之间的距离不变,而将它们的电荷量都变为原来的2倍,那么它们之间的静电力的大小应为( )A.2F
B.
C.4F
D.
【答案】分析:本题比较简单,直接利用库仑定律进行计算讨论即可.
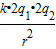
解答:解:距离改变之前:F=k
①
当电荷量都变为原来的3倍时:F1=k
②
联立①②可得:F1=4F,故ABD错误,C正确.
故选C.
点评:库仑定律应用时涉及的物理量较多,因此理清各个物理量之间的关系,可以和万有引力定律进行类比学习.
解答:解:距离改变之前:F=k
当电荷量都变为原来的3倍时:F1=k
联立①②可得:F1=4F,故ABD错误,C正确.
故选C.
点评:库仑定律应用时涉及的物理量较多,因此理清各个物理量之间的关系,可以和万有引力定律进行类比学习.
练习册系列答案
相关题目