题目内容
某人手持边长为6cm的正方形平面镜测量身后一棵树的高度.测量时保持镜面与地面垂直,镜子与眼睛的距离为0.4m.在某位置时,他在镜中恰好能够看到整棵树的像;然后他向前走了6.0m,发现用这个镜子长度的A.5.5m
B.5.0m
C.4.5m
D.4.0m
【答案】分析:正确作出光路图,利用光路可逆,通过几何关系计算出树的高度.这是解决光路图题目的一般思路.
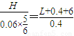
解答:解:设树高为H,树到镜的距离为L,如图所示,是恰好看到树时的反射光路图,
由图中的三角形可得
即
.
人离树越远,视野越开阔,看到树的全部所需镜面越小,
同理有
,
以上两式解得:L=29.6m、H=4.5m.
所以选项ABD是错误的.选项C是正确的.
故选C.
点评:平面镜的反射成像,通常要正确的转化为三角形求解.
解答:解:设树高为H,树到镜的距离为L,如图所示,是恰好看到树时的反射光路图,
由图中的三角形可得
人离树越远,视野越开阔,看到树的全部所需镜面越小,
同理有
以上两式解得:L=29.6m、H=4.5m.
所以选项ABD是错误的.选项C是正确的.
故选C.
点评:平面镜的反射成像,通常要正确的转化为三角形求解.
练习册系列答案
相关题目