题目内容
卫星电话在抢险救灾中能发挥重要作用.第一代、第二代海事卫星只使用静止轨道卫星,不能覆盖地球上的高纬度地区.第三代海事卫星采用同步和中轨道卫星结合的方案,它由4颗同步卫星与12颗中轨道卫星构成.中轨道卫星高度为10354km,分布在几个轨道平面上(与赤道平面有一定的夹角),此高度上卫星沿轨道旋转一周的时间为四分之一天.下列说法中正确的是( )A.中轨道卫星的加速度小于同步卫星的加速度
B.中轨道卫星的线速度大于同步卫星的线速度
C.在中轨道卫星经过地面某点的正上方的一天后,该卫星还在地面该点的正上方
D.发射中轨道卫星比发射相同质量的同步卫星所需要的能量少
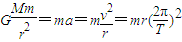
【答案】分析:根据万有引力提供向心力
分析.
解答:解:A、根据
,轨道半径越大,周期越大,已知中轨道卫星的周期小于同步卫星的周期,则中轨道的轨道半径小于同步卫星的轨道半径.根据
,a=
,轨道半径小的加速度大,所以中轨道卫星的加速度大于同步卫星的加速度.故A错误.
B、根据
,轨道半径越大,线速度越小,中轨道卫星的线速度大于同步卫星的线速度.故B正确.
C、中轨道卫星经过一天运动4周,正好还处在正上方.故C正确.
D、中轨道卫星的高度小,克服万有引力做功少,所以发射中轨道卫星比发射相同质量的同步卫星所需要的能量少.故D正确.
故选BCD.
点评:解决本题的关键掌握万有引力提供向心力
.知道轨道半径越大,向心加速度越小,线速度越小,周期越大.
解答:解:A、根据
B、根据
C、中轨道卫星经过一天运动4周,正好还处在正上方.故C正确.
D、中轨道卫星的高度小,克服万有引力做功少,所以发射中轨道卫星比发射相同质量的同步卫星所需要的能量少.故D正确.
故选BCD.
点评:解决本题的关键掌握万有引力提供向心力
练习册系列答案
相关题目
卫星电话在抢险救灾中能发挥重要作用.第一代、第二代海事卫星只使用地球同步卫星,不能覆盖地球上的高纬度地区.第三代海事卫星采用地球同步卫星和中轨道卫星结合的方案,它由4颗同步卫星与12颗中轨道卫星构成.中轨道卫星高度为10354千米,分布在几个轨道平面上(与赤道平面有一定的夹角),在这个高度上,卫星沿轨道旋转一周的时间为6h.则下列判断正确的是( )
| A、中轨道卫星的线速度小于地球同步卫星 | B、中轨道卫星的角速度小于地球同步卫星 | C、在中轨道卫星经过地面某点正上方的一天后,该卫星仍在地面该点的正上方 | D、如果某一时刻中轨道卫星、地球同步卫星与地球的球心在同一直线上,那么经过6h 它们仍在同一直线上 |