题目内容
如图所示,一高度为h=0.8m粗糙的水平面在B点处与一倾角为θ=30°光滑的斜面BC连接,一小滑块从水平面上的A点以v=3m/s的速度在粗糙的水平面上向右运动.运动到B点时小滑块恰能沿光滑斜面下滑.已知AB间的距离s=5m,求:(1)小滑块与水平面间的动摩擦因数;
(2)小滑块从A点运动到地面所需的时间;
(3)若小滑块从水平面上的A点以v1=5m/s的速度在粗糙的水平面上向右运动,运动到B点时小滑块将做什么运动?并求出小滑块从A点运动到地面所需的时间.(取g=10m/s2).
【答案】分析:(1)根据匀变速直线运动的速度位移公式求出小滑块的加速度,根据牛顿第二定律求出动摩擦因数
(2)根据速度时间公式求出小滑块运动到B点的时间,根据牛顿第二定律求出在光滑斜面上的加速度,再由匀变速直线运动的位移时间公式求出在斜面上运动的时间,两个时间之和即为所求时间.
(3)若小滑块从水平面上的A点以v1=5m/s的速度在粗糙的水平面上向右运动,到达B点有水平初速度,将做平抛运动,通过计算判断下滑块平抛是否落在斜面上,根据平抛运动的规律求出运动的时间,从而求出总时间
解答:解:(1)小滑块运动到B点时速度恰为零,设小滑块在水平面上运动的加速度大小为a,
据牛顿第二定律可得 μmg=ma ①
由运动学公式得-v2=-2as②
解得 μ=0.09③
故小滑块与水平面间的动摩擦因数为0.09.
(2)小滑块运动到B点 t1=
=3.3s ④
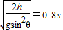
在斜面上运动的加速度a=gsinθ,
运动的时间 t2=
⑤
小滑块从A点运动到地面所需的时间为 t=t1+t2=4.1s ⑥
故小滑块从A点运动到地面所需的时间为4.1s.
(3)若小滑块从水平面上的A点以v1=5m/s的速度在粗糙的水平面上向右运动,运动到B点时的速度为,
由vB2-v12=-2as得vB=
=4m/s
小滑块将做平抛运动.
假设小滑块不会落到斜面上,则经过
,由于水平运动的位移x=vBt3=1.67m>
=1.36m
所以假设正确.
小滑块从A点运动到地面所需的时间为t=
s ⑨
故小滑块从A点运动到地面所需的时间为1.5s.
点评:处理动力学问题知道加速度是联系前后的桥梁,通过加速度可以根据力求运动,也可以根据运动求力.
(2)根据速度时间公式求出小滑块运动到B点的时间,根据牛顿第二定律求出在光滑斜面上的加速度,再由匀变速直线运动的位移时间公式求出在斜面上运动的时间,两个时间之和即为所求时间.
(3)若小滑块从水平面上的A点以v1=5m/s的速度在粗糙的水平面上向右运动,到达B点有水平初速度,将做平抛运动,通过计算判断下滑块平抛是否落在斜面上,根据平抛运动的规律求出运动的时间,从而求出总时间
解答:解:(1)小滑块运动到B点时速度恰为零,设小滑块在水平面上运动的加速度大小为a,
据牛顿第二定律可得 μmg=ma ①
由运动学公式得-v2=-2as②
解得 μ=0.09③
故小滑块与水平面间的动摩擦因数为0.09.
(2)小滑块运动到B点 t1=
在斜面上运动的加速度a=gsinθ,
运动的时间 t2=
小滑块从A点运动到地面所需的时间为 t=t1+t2=4.1s ⑥
故小滑块从A点运动到地面所需的时间为4.1s.
(3)若小滑块从水平面上的A点以v1=5m/s的速度在粗糙的水平面上向右运动,运动到B点时的速度为,
由vB2-v12=-2as得vB=
小滑块将做平抛运动.
假设小滑块不会落到斜面上,则经过
所以假设正确.
小滑块从A点运动到地面所需的时间为t=
故小滑块从A点运动到地面所需的时间为1.5s.
点评:处理动力学问题知道加速度是联系前后的桥梁,通过加速度可以根据力求运动,也可以根据运动求力.
练习册系列答案
相关题目
| A、物体滑到斜面底端的速度相同 | B、物体滑到斜面底端所用的时间相同 | C、物体滑到斜面底端时重力所做功的功率相同 | D、物体滑到斜面底端过程中重力所做的功相同 |