题目内容
物体从A点由静止出发做匀加速直线运动,经过B点到达C点.已知物体经过B点速度是到达C点的速度的A.8.0m
B.6.4m
C.24.0m
D.25.6m
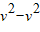
【答案】分析:设到达B点的速度为v,则到达C点的速度为2v,加速度为a,根据2ax=
即可求解.
解答:解:设到达B点的速度为v,则到达C点的速度为2v,加速度为a,
则根据2ax=
得:


解得:
=
所以xAB=8m
xBC=xAC-xAB=32-8m=24m
故选C.
点评:本题考查了匀变速直线运动速度-位移关系,难度不大属于基础题.
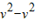
解答:解:设到达B点的速度为v,则到达C点的速度为2v,加速度为a,
则根据2ax=
解得:
所以xAB=8m
xBC=xAC-xAB=32-8m=24m
故选C.
点评:本题考查了匀变速直线运动速度-位移关系,难度不大属于基础题.
练习册系列答案
相关题目
分别让一物体按照以下两种情境通过直线上的A、B两点,一种是物体以速度v匀速运动,所用时间为t;另一种是物体从A点由静止出发,先匀加速直线运动(加速度为a1)到某一最大速度vm,立即做匀减速直线运动(加速度大小为a2)至B点速度恰减为0,所用时间仍为t.下列说法正确的是( )
| A、vm只能为2v,与a1、a2的大小无关 | ||||
| B、vm可为许多值,与a1、a2的大小有关 | ||||
| C、a1、a2必须是一定的 | ||||
D、a1、a2必须满足
|