题目内容

如图所示,粒子源O产生初速度为零、电荷量为q、质量为m的正离子,被电压为U0的加速电场加速后通过直管,在到两极板等距离处垂直射入平行板间的偏转电场,两平行板间电压为2U0.离子偏转后通过极板MN上的小孔S离开电场.已知ABC是一个外边界为等腰三角形的匀强磁场区域,磁场方向垂直纸面向外,边界AB=AC=L,=30°,离子经过一段匀速直线运动,垂直AB边从AB中点进入磁场.(忽略离子所受重力)

(1)若磁场的磁感应强度大小为B0,试求离子在磁场中做圆周运动的半径;

(2)若离子能从AC边穿出,试求磁场的磁感应强度大小的范围.

答案:
解析:

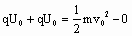
  解(1)设离子进入磁场的速度为,则根据动能定理可知:

  (3分)

  离子进入磁场后,由牛顿第二定律可知:(2分)

  得(2分)

  (2)如图所示,由几何知识(3分)

  又由于:(2分)

  可得:(2分)

  要满足离子能从AC边穿出,则B<(2分)


练习册系列答案
相关题目

违法和不良信息举报电话:027-86699610 举报邮箱:58377363@163.com

精英家教网