题目内容

如图所示,质量均为m的A、B两物体叠放在竖直轻质弹簧并保持静止,用大小等于的恒力F竖直向上拉B,当上升距离为h时B与A开始分离。下列说法正确的是

 

A.B与A刚分离时,弹簧为原长

B.B与A刚分离时,A与B的加速度相同

C.弹簧的劲度系数等于

D.从开始运动到B与A刚分离的过程中, B物体的动能先增大后减小

 

【答案】

BCD

【解析】

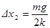
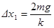
试题分析:当A和B两物体叠放在竖直轻质弹簧并保持静止时,弹簧的弹力,由胡克定律,得弹簧的形变量;当A和B两物体一起上升时,把A和B两物体看成一个整体,由牛顿第二定律,得;对B物体进行隔离分析,得 ;当A和B开始分离时, ,解得,负号表示方向竖直向下,此时弹簧的弹力为,由胡克定律,得弹簧的形变量;由题中条件,,则,故BCD正确。

考点:本题考查受力分析中整体法和隔离法以及牛顿第二定律的应用。

 

练习册系列答案
相关题目

违法和不良信息举报电话:027-86699610 举报邮箱:58377363@163.com

精英家教网