题目内容

如图,半径为R的光滑圆形轨道安置在一竖直平面上,左侧连接一个光滑的弧形轨道,右侧连接动摩擦因数为μ的水平轨道CD.一小球自弧形轨道上端的A处由静止释放,通过圆轨道后,再滑上CD轨道.若在圆轨道最高点B处对轨道的压力恰好为零,到达D点时的速度为.求:

(1)小球经过B点时速度的大小.

(2)小球释放时的高度h

(3)水平轨道CD段的长度l

答案:
解析:

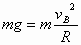
  (1)根据小球在B处对轨道压力为零,由向心力公式有

  ①(2分)

  解得小球、经过B点时速度大小vB②(2分)

  (2)取轨道最低点为零势能点,由机械能守恒定律

  ③(2分)

  由②、③联立解得④(2分)

  (3)对小球从最高点到D点全过程应用动能定理有

  ⑤(2分)

  又vD

  由④⑤⑥联立解得水平轨道CD段的长度(2分)


练习册系列答案
相关题目

违法和不良信息举报电话:027-86699610 举报邮箱:58377363@163.com

精英家教网