题目内容
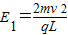
如图所示,长为L(L=ab=dc),高为L(L=bc=ad)的矩形区域abcd内存在着匀强电场.电量为q、质量为m、初速度为v的带电粒子从a点沿ab方向进入电场,不计粒子重力.(1)若粒子从c点离开电场,求电场强度的大小
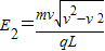
(2)若粒子从bc边某处离开电场时速度为v,求电场强度的大小
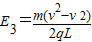
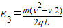
(3)若粒子从cd边某处离开电场时速度为v,求电场强度的大小.
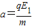
【答案】分析:(1)若粒子从C点离开电场,粒子做类平抛运动沿电场方向上的位移为L,垂直于电场方向上的位移为L,结合牛顿第二定律和运动学公式求出电场强度的大小.
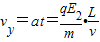
(2)若粒子从bc边某处离开电场时速度为v,根据平行四边形定则求出粒子沿电场方向上的速度,结合牛顿第二定律和速度时间公式求出电场强度的大小.
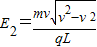
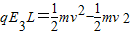
(3)若粒子从cd边某处离开电场时速度为v,运用动能定理求出电场强度的大小.
解答:解:(1)a→c过程粒子类平抛 沿v方向:L=vt
垂直v方向:

解得:
(2)离开电场时垂直v方向:

解得:
(3)由动能定理:
解得:
答:(1)若粒子从c点离开电场,电场强度的大小
.
(2)若粒子从bc边某处离开电场时速度为v,电场强度的大小
.
(3)若粒子从cd边某处离开电场时速度为v,电场强度的大小
.
点评:带电粒子在电场中类平抛运动,沿电场方向上做匀加速直线运动,垂直于电场方向上做匀速直线运动.结合牛顿第二定律和运动学公式进行求解.
(2)若粒子从bc边某处离开电场时速度为v,根据平行四边形定则求出粒子沿电场方向上的速度,结合牛顿第二定律和速度时间公式求出电场强度的大小.
(3)若粒子从cd边某处离开电场时速度为v,运用动能定理求出电场强度的大小.
解答:解:(1)a→c过程粒子类平抛 沿v方向:L=vt
垂直v方向:
解得:
(2)离开电场时垂直v方向:
解得:
(3)由动能定理:
解得:
答:(1)若粒子从c点离开电场,电场强度的大小
(2)若粒子从bc边某处离开电场时速度为v,电场强度的大小
(3)若粒子从cd边某处离开电场时速度为v,电场强度的大小
点评:带电粒子在电场中类平抛运动,沿电场方向上做匀加速直线运动,垂直于电场方向上做匀速直线运动.结合牛顿第二定律和运动学公式进行求解.
练习册系列答案
相关题目
| A、线框一直都有感应电流 | B、线框产生的热量为mg(d+h+L) | C、线框有一阶段的加速度为g | D、线框作匀减速运动 |
| A、线框有一阶段在做匀加速运动 | B、线框ab边在刚进入磁场时可能做加速运动 | C、线框ab边在刚穿出磁场时一定是先做减速运动 | D、线框中产生的热量为F(d+S+L) |