ÌâÄ¿ÄÚÈÝ

£¨19·Ö£©ÈçͼËùʾ£¬ÔÚ×ø±êϵxoyµÄµÚÒ»¡¢µÚÈýÏóÏÞÄÚ´æÔÚÏàͬµÄÔÈÇ¿´Å³¡£¬´Å³¡·½Ïò´¹Ö±ÓÚxoyÃæÏòÀµÚËÄÏóÏÞÄÚÓÐÑØyÖáÕý·½ÏòµÄÔÈÇ¿µç³¡£¬µç³¡Ç¿¶È´óСΪE. Ò»ÖÊÁ¿Îª¡¢´øµçÁ¿ÎªµÄÁ£×Ó×ÔyÖáµÄPµãÑØxÖáÕý·½ÏòÉäÈëµÚËÄÏóÏÞ£¬¾­xÖáÉϵÄQµã½øÈëµÚÒ»ÏóÏÞ£¬Ëæ¼´³·È¥µç³¡£¬ÒÔºó½ö±£Áô´Å³¡¡£ÒÑÖªOP=d,OQ=2d,²»¼ÆÁ£×ÓÖØÁ¦¡£

£¨1£©ÇóÁ£×Ó¹ýQµãʱËٶȵĴóСºÍ·½Ïò¡£

£¨2£©Èô´Å¸ÐӦǿ¶ÈµÄ´óСΪһ¶¨ÖµB0£¬Á£×Ó½«ÒÔ´¹Ö±yÖáµÄ·½Ïò½øÈëµÚ¶þÏóÏÞ£¬ÇóB0£»

£¨3£©Èô´Å¸ÐӦǿ¶ÈµÄ´óСΪÁíһȷ¶¨Öµ£¬¾­¹ýÒ»¶Îʱ¼äºóÁ£×Ó½«Ôٴξ­¹ýQµã£¬ÇÒËÙ¶ÈÓëµÚÒ»´Î¹ýQµãʱÏàͬ£¬Çó¸ÃÁ£×ÓÏàÁÚÁ½´Î¾­¹ýQµãËùÓõÄʱ¼ä¡£

 

¡¾´ð°¸¡¿

£¨1£©  £¨2£©    £¨3£©

¡¾½âÎö¡¿

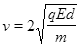
ÊÔÌâ·ÖÎö£º£¨1£©ÉèÁ£×ÓÔڵ糡ÖÐÔ˶¯µÄʱ¼äΪ£¬¼ÓËٶȵĴóСΪa£¬Á£×ӵijõËÙ¶ÈΪ£¬¹ýQµãʱËٶȵĴóСΪv£¬ÑØyÖá·½Ïò·ÖËٶȵĴóСΪ£¬ËÙ¶ÈÓëxÖáÕý·½Ïò¼äµÄ¼Ð½ÇΪ£¬ÓÉÅ£¶ÙµÚ¶þ¶¨Âɵà ¢Å

ÓÉÔ˶¯Ñ§¹«Ê½µÃ  ¢Æ   ¢Ç   ¢È   ¢É    ¢Ê

 ÁªÁ¢¢Å¢Æ¢Ç¢È¢É¢Êʽ   ¢Ë    ¢Ì

£¨2£©ÉèÁ£×Ó×öÔ²ÖÜÔ˶¯µÄ°ë¾¶Îª£¬Á£×ÓÔÚµÚÒ»ÏóÏÞµÄÔ˶¯¹ì¼£ÈçͼËùʾ£¬ÎªÔ²ÐÄ£¬Óɼ¸ºÎ¹ØÏµ¿ÉÖª¡÷O1OQΪµÈÑüÖ±½ÇÈý½ÇÐΣ¬µÃ  ¢Í

ÓÉÅ£¶ÙµÚ¶þ¶¨Âɵà           ¢Î

ÁªÁ¢¢Ë¢Í¢ÎʽµÃ               ¢Ï

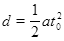
£¨3£©ÉèÁ£×Ó×öÔ²ÖÜÔ˶¯µÄ°ë¾¶Îª£¬Óɼ¸ºÎ·ÖÎö£¨Á£×ÓÔ˶¯µÄ¹ì¼£ÈçͼËùʾ£¬¡¢ÊÇÁ£×Ó×öÔ²ÖÜÔ˶¯µÄÔ²ÐÄ£¬Q¡¢F¡¢G¡¢HÊǹ켣ÓëÁ½×ø±êÖáµÄ½»µã£¬Á¬½Ó¡¢£¬Óɼ¸ºÎ¹ØÏµÖª£¬ºÍ¾ùΪ¾ØÐΣ¬½ø¶øÖªFQ¡¢GH¾ùΪֱ¾¶£¬QFGHÒ²ÊǾØÐΣ¬ÓÖFH¡ÍGQ£¬¿ÉÖªQFGHÊÇÕý·½ÐΣ¬¡÷QOGΪµÈÑüÖ±½ÇÈý½ÇÐΣ©¿ÉÖª£¬Á£×ÓÔÚµÚÒ»¡¢µÚÈýÏóÏ޵Ĺ켣¾ùΪ°ëÔ²£¬µÃ              ¢Ð

Á£×ÓÔÚµÚ¶þ¡¢µÚËÄÏóÏ޵Ĺ켣Ϊ³¤¶ÈÏàµÈµÄÏ߶Σ¬µÃ            ¢Ñ

ÉèÁ£×ÓÏàÁÚÁ½´Î¾­¹ýQµãËùÓõÄʱ¼äΪt£¬ÔòÓР           ¢Ò   

 ÁªÁ¢¢ß¢Ð¢Ñ¢ÒµÃ         ¢Ó

¿¼µã£º±¾Ì⿼²é´øµçÁ£×ÓÔÚÔÈÇ¿µç³¡ÖеÄÀàÆ½Å×Ô˶¯ºÍÔÚÔÈÇ¿´Å³¡ÖеÄÔÈËÙÔ²ÖÜÔ˶¯¡£

 

Á·Ï°²áϵÁдð°¸
Ïà¹ØÌâÄ¿

Î¥·¨ºÍ²»Á¼ÐÅÏ¢¾Ù±¨µç»°£º027-86699610 ¾Ù±¨ÓÊÏ䣺58377363@163.com

¾«Ó¢¼Ò½ÌÍø