题目内容
如图所示,在光滑水平面上有一个长方体木块,它的长度是l,当它的一端受水平推力F时,木块内部各横截面S上的压力怎样随截面到受力端的距离x而改变?
解:用整体和隔离结合思想求解,设木块的质量为m
对整个长方体木块应用牛顿第二定律:F=ma
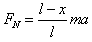
对(l-x)部分的木块受力分析,它只受x部分对它的推力作用FN,有
,即
对整个长方体木块应用牛顿第二定律:F=ma
对(l-x)部分的木块受力分析,它只受x部分对它的推力作用FN,有
练习册系列答案
相关题目