题目内容

(12分)如图所示,两块相同平板P1,P2置于光滑水平面上,质量均为m。P2的右端固定一轻质弹簧,左端A与弹簧的自由端B相距L。物体P置于P1的最右端,质量为2m,且可看作质点。P1与P以共同速度v0向右运动,与静止的P2发生碰撞,碰撞时间极短。碰撞后P1与P2粘连在一起。P压缩弹簧后被弹回并停在A点(弹簧始终在弹性限度内)。P与P2之间的动摩擦因数为μ。求

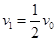
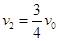
(1)P1、P2刚碰完时的共同速度v1和P的最终速度v2

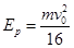
(2)此过程中弹簧的最大压缩量x和相应的弹性势能Ep

 

【答案】

(1)            (2)     

【解析】

试题分析:(1)P1和P2碰撞过程中,满足动量守恒定律:

          (2分)

解得:          (1分)

P在P2上滑行过程, P1、P2、P组成的系统动量守恒:

          (2分)

解得:          (1分)

(2)P1、P2、P第一次速度相等,弹簧压的缩量x最大,根据能量守恒定律可得:

        (2分)

P刚进入P2到P1、P2、P第二次速度相等,根据能量守恒定律可得:

           (2分)

解得:       (2分)

考点:本题考查了动量守恒定律和能量守恒定律。

 

练习册系列答案
相关题目

违法和不良信息举报电话:027-86699610 举报邮箱:58377363@163.com

精英家教网