题目内容

如图所示,竖直光滑的杆子上套有一滑块A,滑块通过细绳绕过光滑滑轮连接物块B,B又通过一轻质弹簧连接物块CC静止在地面上。开始用手托住A,使绳子刚好伸直处于水平位置但无张力,现将A由静止释放,当速度达到最大时,C也刚好同时离开地面,此时B还没有到达滑轮位置.已知:mA=1.2kg, mB=1kg, mc=1kg,滑轮与杆子的水平距离L=0.8m。试求:

(1)弹簧的劲度系数

(2)AB的最大速度是多少

 



(1)当A速度达到最大时,即加速度等于0的时候,此时C也刚好同时离开地面,那么对B和C整体分析只有绳子拉力,因此此时绳子拉力

A下降过程受力分析如图

当A的速度最大加速度等于0时,即,计算得

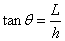
假设A下降的高度为h,则根据几何关系可得带入得

根据几何关系如上图,A下降时定滑轮到A的距离为

那么绳子拉长的长度也就是B上升的高度就是

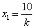
初始状态,绳子无张力,对B分析有 即弹簧压缩

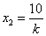
末状态,C刚好离开地面,对C分析有即弹簧拉伸

  带入计算得

(2)由第二问可知,初状态弹簧压缩和末状态弹簧拉伸,弹簧弹性势能没有变化,那么在此过程中ABC和弹簧组成的系统机械能守恒,有

有几何关系可得AB的速度关系有

带入计算得

练习册系列答案
相关题目

违法和不良信息举报电话:027-86699610 举报邮箱:58377363@163.com

精英家教网