ÌâÄ¿ÄÚÈÝ

ÈçͼËùʾ£¬Ë®Æ½ÃæÉÏ·ÅÓÐÓþøÔµ²ÄÁÏÖÆ³ÉµÄLÐλ¬°å(Æ½Ãæ²¿·Ö×ã¹»³¤ÇÒ²»¼Æºñ¶È)£¬ÖÊÁ¿Îª4m£¬¾à»¬°åµÄA±ÚΪL1¾àÀëµÄB´¦·ÅÓÐÒ»ÖÊÁ¿Îªm¡¢µçÁ¿Îª+qµÄСÎïÌ壬ºöÂÔÒ»ÇÐĦ²ÁµÄÓ°Ïì¡£Õû¸ö×°ÖÃÖÃÓÚˮƽÏòÓҵij¡Ç¿ÎªEµÄÔÈÇ¿µç³¡ÖУ¬³õʼʱ¿Ì£¬»¬°åÓëÎïÌå¶¼¾²Ö¹¡££¨ÔÚÅöײ¹ý³ÌÖÐÎÞµçºÉ×ªÒÆ£©ÊÔÎÊ£º
(1)ÊÍ·ÅСÎïÌ壬µÚÒ»´ÎÓ뻬°åA±ÚÅöǰÎïÌåµÄËÙ¶Èv1¶à´ó?
(2)ÈôÎïÌåÓëA±ÚÅöºóËÙ¶È´óСΪÅöǰËÙÂʵģ¬ÔòÎïÌåÔÚµÚ¶þ´Î¸úA±ÚÅöײ֮ǰ£¬»¬°åµÄËÙ¶Èv2ºÍÎïÌåµÄËÙ¶Èv3·Ö±ðΪ¶à´ó?

(1)ÊÍ·ÅСÎïÌ壬ÎïÌåÔڵ糡Á¦×÷ÓÃÏÂˮƽÏòÓÒÔ˶¯£¬´Ëʱ£¬»¬°å¾²Ö¹²»¶¯£¬¶ÔÓÚСÎïÌ壬
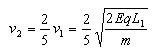
Óɶ¯Äܶ¨ÀíµÃ£º £¨4·Ö£©        
½âµÃ £¨2·Ö£©
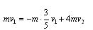
(2)ÅöºóСÎïÌå·´µ¯£¬Óɶ¯Á¿Êغ㶨ÂÉ£ºµÃ£¨4·Ö£©
½âµÃ£¨2·Ö£© 
Ö®ºó£¬»¬°åÒÔv2ÔÈËÙÔ˶¯£¬Ö±µ½ÓëÎïÌåµÚ¶þ´ÎÅöײ£¬´ÓµÚÒ»´ÎÅöײµ½µÚ¶þ´ÎÅöײʱ£¬ÎïÌåÓ뻬°åÎ»ÒÆÏàµÈ¡¢Ê±¼äÏàµÈ¡¢Æ½¾ùËÙ¶ÈÏàµÈ
£¨4·Ö£©
½âµÃ £¨2·Ö£©

½âÎö

Á·Ï°²áϵÁдð°¸
Ïà¹ØÌâÄ¿

Î¥·¨ºÍ²»Á¼ÐÅÏ¢¾Ù±¨µç»°£º027-86699610 ¾Ù±¨ÓÊÏ䣺58377363@163.com

¾«Ó¢¼Ò½ÌÍø