题目内容
如图所示,一个质量为m,带电量为+q的粒子以速度V从O点沿y轴正方向射入磁感应强度为B的圆形匀强磁场区域,磁场方向垂直纸面向外,粒子飞出磁场区域后,从点b处穿过x轴,速度方向与x轴正方向的夹角为30°.粒子的重力不计,试求:(1)圆形匀强磁场区域的最小面积?
(2)粒子在磁场中运动的时间?
(3)b点到O点的距离?
【答案】分析:(1)根据带电粒子在磁场中运动时,洛仑兹力提供向心力即可求得半径;先求出连接粒子在磁场区入射点和出射点的弦长,要使圆形匀强磁场区域面积最小,其半径刚好为L的一半,求出半径即可求得最小面积.
(2)带电粒子在磁场中轨迹圆弧对应的圆心角为120°,根据圆心角与周期的关系即可求解运动时间;
(3)根据轨迹,由几何知识求得从b点射出时Ob距离.
解答:
解:(1)带电粒子在磁场中运动时,洛仑兹力提供向心力,则 
其转动半径为
带电粒子在磁场中做匀速圆周运动,连接粒子在磁场区入射点和出射点得弦长为:
要使圆形匀强磁场区域面积最小,其半径刚好为L的一半,即:
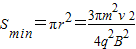
其面积为
(2)带电粒子在磁场中轨迹圆弧对应的圆心角为120°,带电粒子在磁场中运动的时间为转动周期的
,即有 t=
=
=
(3)带电粒子从O处进入磁场,转过120°后离开磁场,再做直线运动从b点射出时Ob距离:
答:
(1)圆形匀强磁场区域的最小面积是
(2)粒子在磁场中运动的时间为
.
(3)b点到O点的距离是
.
点评:本题主要考查了带电粒子在磁场中做匀速圆周运动的问题,知道向心力由洛伦兹力提供,学会利用圆心角去求运动时间,难度适中.
(2)带电粒子在磁场中轨迹圆弧对应的圆心角为120°,根据圆心角与周期的关系即可求解运动时间;
(3)根据轨迹,由几何知识求得从b点射出时Ob距离.
解答:
其转动半径为
带电粒子在磁场中做匀速圆周运动,连接粒子在磁场区入射点和出射点得弦长为:
要使圆形匀强磁场区域面积最小,其半径刚好为L的一半,即:
其面积为
(2)带电粒子在磁场中轨迹圆弧对应的圆心角为120°,带电粒子在磁场中运动的时间为转动周期的
(3)带电粒子从O处进入磁场,转过120°后离开磁场,再做直线运动从b点射出时Ob距离:
答:
(1)圆形匀强磁场区域的最小面积是
(2)粒子在磁场中运动的时间为
(3)b点到O点的距离是
点评:本题主要考查了带电粒子在磁场中做匀速圆周运动的问题,知道向心力由洛伦兹力提供,学会利用圆心角去求运动时间,难度适中.
练习册系列答案
相关题目